Официальное опубликование правовых актов
ОФИЦИАЛЬНОЕ ОПУБЛИКОВАНИЕ
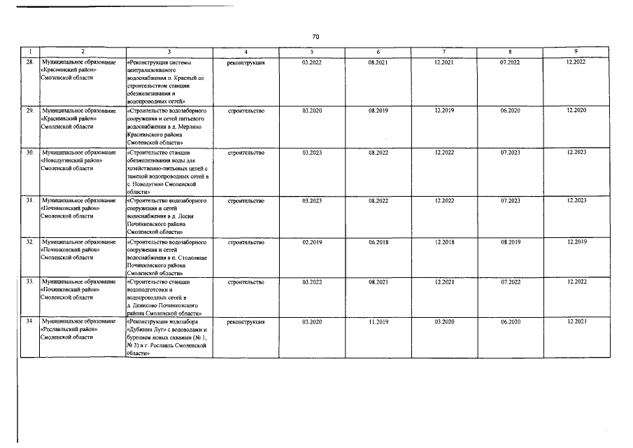
Постановление Администрации Смоленской области от 25.06.2020 № 364
"Об утверждении областной государственной программы "Повышение качества водоснабжения на территории Смоленской области"
Номер опубликования: 6700202007030030
Дата опубликования: 03.07.2020
Страница №70 из 79:
Увеличить