Официальное опубликование правовых актов
ОФИЦИАЛЬНОЕ ОПУБЛИКОВАНИЕ
Постановление Администрации Смоленской области от 24.04.2020 № 238
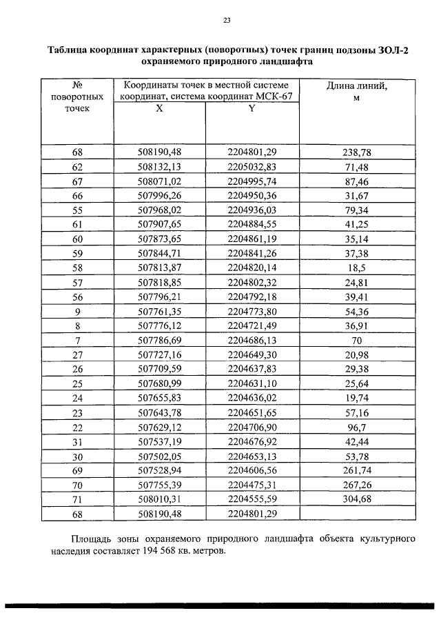
"Об установлении зон охраны объекта культурного наследия (памятника истории и культуры) народов Российской Федерации регионального значения "Церковь Покровская", 1896 г., расположенного по адресу: Смоленская область, Темкинский район, дер. Дуброво, и утверждении требований к градостроительным регламентам в границах территорий данных зон"
Номер опубликования: 6700202004290004
Дата опубликования: 29.04.2020
Страница №23 из 38:
Увеличить