Официальное опубликование правовых актов
ОФИЦИАЛЬНОЕ ОПУБЛИКОВАНИЕ
Постановление Администрации Смоленской области от 24.04.2020 № 237
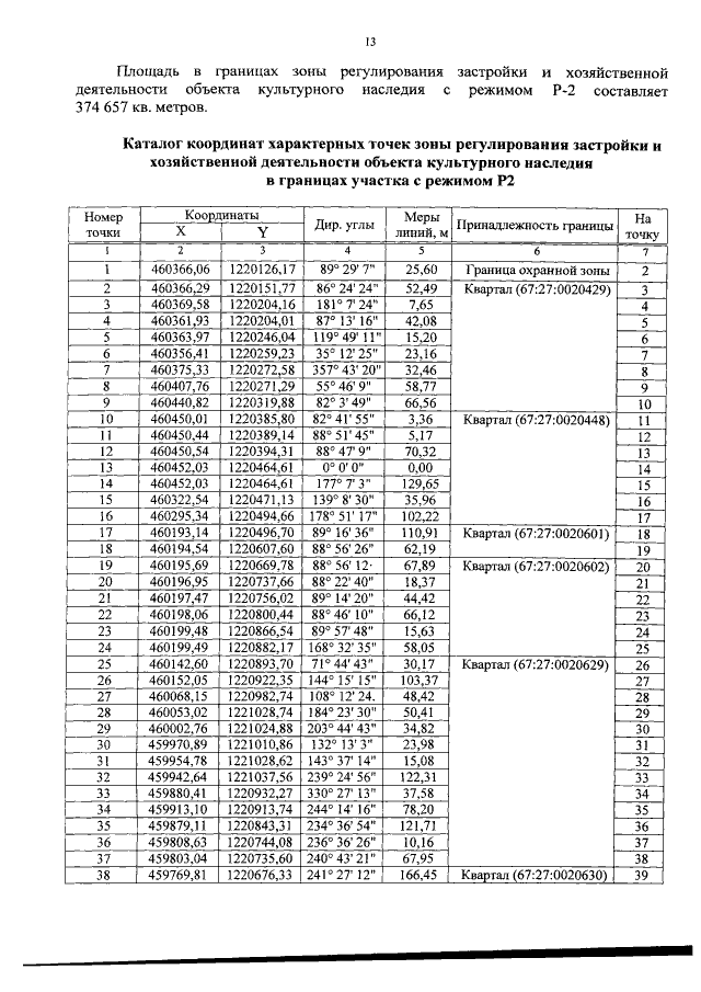
"Об установлении зон охраны объекта культурного наследия (памятника истории и культуры) народов Российской Федерации регионального значения "Комплекс казарм Нарвского полка", начало ХХ в., расположенного по адресу: Смоленская область, г. Смоленск, ул. Городок Коминтерна, и утверждении требований к градостроительным регламентам в границах территорий данных зон"
Номер опубликования: 6700202004290002
Дата опубликования: 29.04.2020
Страница №13 из 27:
Увеличить