Официальное опубликование правовых актов
ОФИЦИАЛЬНОЕ ОПУБЛИКОВАНИЕ
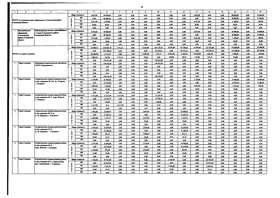
Постановление Администрации Смоленской области от 16.03.2020 № 117
"О внесении изменений в областную государственную программу "Создание условий для обеспечения качественными услугами жилищно-коммунального хозяйства населения Смоленской области"
Номер опубликования: 6700202003170001
Дата опубликования: 17.03.2020
Страница №67 из 100:
Увеличить