Официальное опубликование правовых актов
ОФИЦИАЛЬНОЕ ОПУБЛИКОВАНИЕ
Постановление Администрации Смоленской области от 29.09.2017 № 655
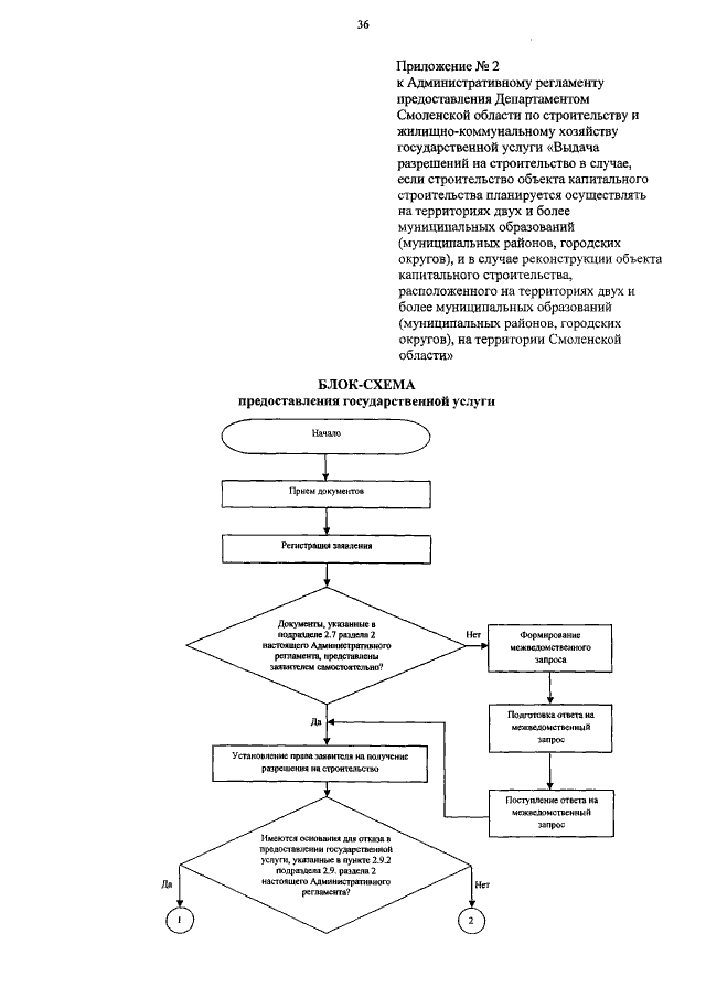
"Об утверждении Административного регламента предоставления Департаментом Смоленской области по строительству и жилищно-коммунальному хозяйству государственной услуги "Выдача разрешений на строительство в случае, если строительство объекта капитального строительства планируется осуществлять на территориях двух и более муниципальных образований (муниципальных районов, городских округов), и в случае реконструкции объекта капитального строительства, расположенного на территориях двух и более муниципальных образований (муниципальных районов, городских округов), на территории Смоленской области"
Номер опубликования: 6700201710060002
Дата опубликования: 06.10.2017
Страница №36 из 37:
Увеличить