Постановление Администрации Смоленской области от 29.09.2017 № 654
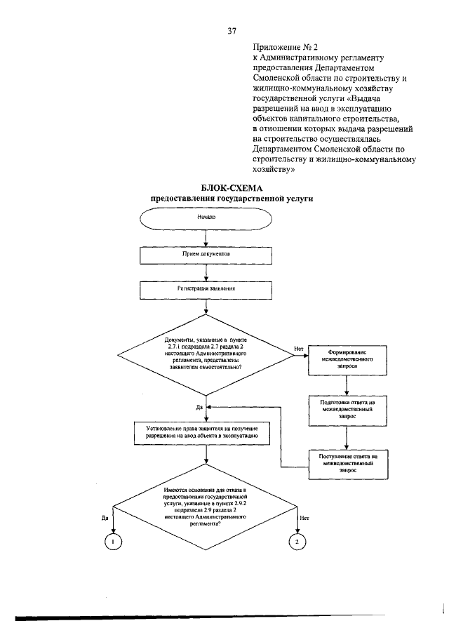
"Об утверждении Административного регламента предоставления Департаментом Смоленской области по строительству и жилищно-коммунальному хозяйству государственной услуги "Выдача разрешений на ввод в эксплуатацию объектов капитального строительства, в отношении которых выдача разрешений на строительство осуществлялась Департаментом Смоленской области по строительству и жилищно-коммунальному хозяйству"
"Об утверждении Административного регламента предоставления Департаментом Смоленской области по строительству и жилищно-коммунальному хозяйству государственной услуги "Выдача разрешений на ввод в эксплуатацию объектов капитального строительства, в отношении которых выдача разрешений на строительство осуществлялась Департаментом Смоленской области по строительству и жилищно-коммунальному хозяйству"
Номер опубликования: 6700201710060001
Дата опубликования:
06.10.2017
