Официальное опубликование правовых актов
ОФИЦИАЛЬНОЕ ОПУБЛИКОВАНИЕ
Постановление Администрации Смоленской области от 30.05.2017 № 353
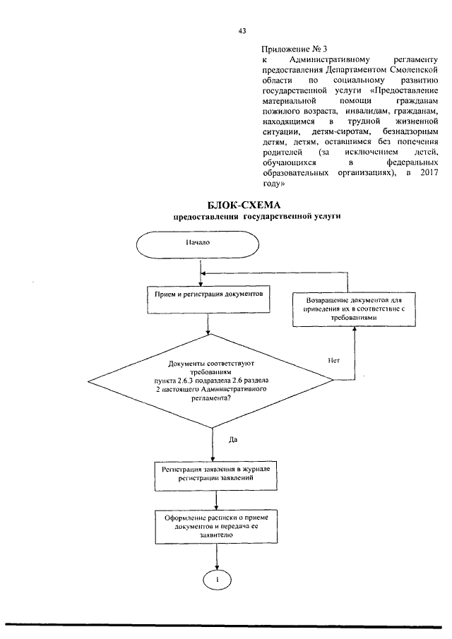
"Об утверждении Административного регламента предоставления Департаментом Смоленской области по социальному развитию государственной услуги "Предоставление материальной помощи гражданам пожилого возраста, инвалидам, гражданам, находящимся в трудной жизненной ситуации, детям-сиротам, безнадзорным детям, детям, оставшимся без попечения родителей (за исключением детей, обучающихся в федеральных образовательных организациях), в 2017 году"
Номер опубликования: 6700201706020008
Дата опубликования: 02.06.2017
Страница №43 из 46:
Увеличить