Официальное опубликование правовых актов
ОФИЦИАЛЬНОЕ ОПУБЛИКОВАНИЕ
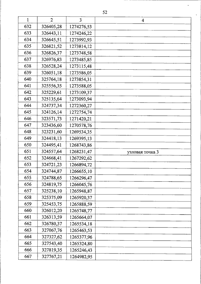
Закон Смоленской области от 25.05.2017 № 57-з
"О внесении изменений в областной закон "О наделении статусом муниципального района муниципального образования – Ершичский район Смоленской области, об установлении границ муниципальных образований, территории которых входят в его состав, и наделении их статусом сельских поселений"
Номер опубликования: 6700201705250022
Дата опубликования: 25.05.2017
Страница №52 из 308:
Увеличить