Официальное опубликование правовых актов
ОФИЦИАЛЬНОЕ ОПУБЛИКОВАНИЕ
Закон Смоленской области от 25.05.2017 № 59-з
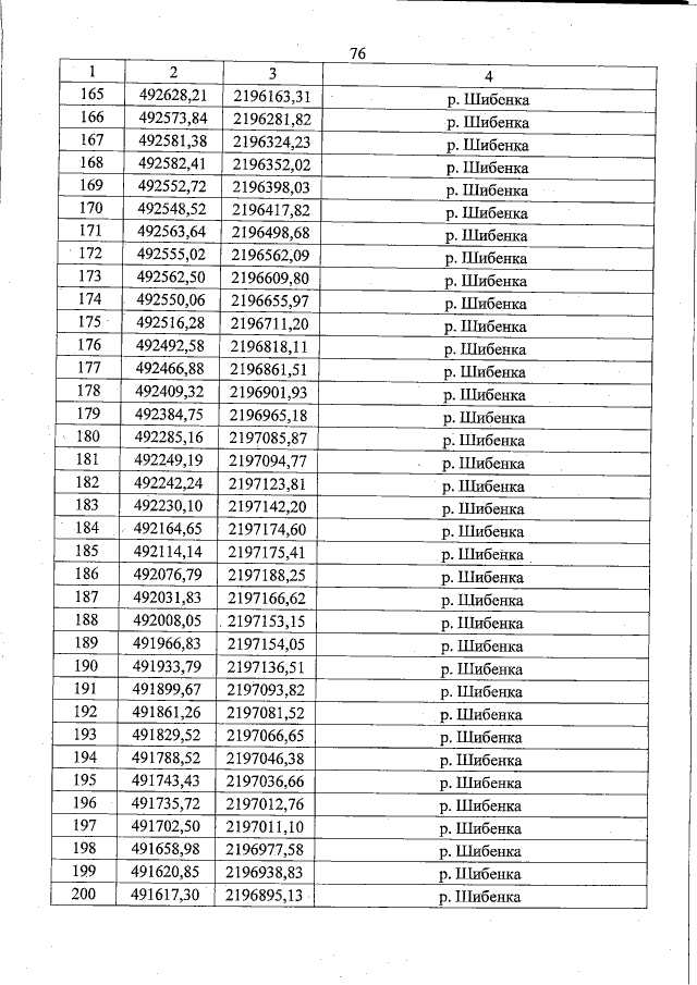
"О внесении изменений в областной закон "О наделении статусом муниципального района муниципального образования "Угранский район" Смоленской области, об установлении границ муниципальных образований, территории которых входят в его состав, и наделении их статусом сельских поселений"
Номер опубликования: 6700201705250003
Дата опубликования: 25.05.2017
Страница №76 из 292:
Увеличить