Официальное опубликование правовых актов
ОФИЦИАЛЬНОЕ ОПУБЛИКОВАНИЕ
Постановление Администрации Смоленской области от 16.08.2016 № 476
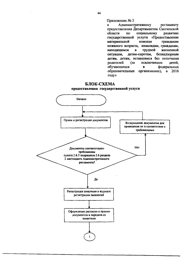
"Об утверждении Административного регламента предоставления Департаментом Смоленской области по социальному развитию государственной услуги "Предоставление материальной помощи гражданам пожилого возраста, инвалидам, гражданам, находящимся в трудной жизненной ситуации, детям-сиротам, безнадзорным детям, детям, оставшимся без попечения родителей (за исключением детей, обучающихся в федеральных образовательных организациях), в 2016 году"
Номер опубликования: 6700201608230018
Дата опубликования: 23.08.2016
Страница №44 из 47:
Увеличить