Официальное опубликование правовых актов
ОФИЦИАЛЬНОЕ ОПУБЛИКОВАНИЕ
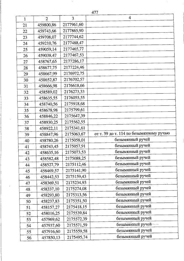
Закон Смоленской области от 21.04.2016 № 47-з
"О внесении изменений в областной закон "О наделении статусом муниципального района муниципального образования "Угранский район" Смоленской области, об установлении границ муниципальных образований, территории которых входят в его состав, и наделении их статусом сельских поселений"
Номер опубликования: 6700201604210016
Дата опубликования: 21.04.2016
Страница №477 из 608:
Увеличить