Официальное опубликование правовых актов
ОФИЦИАЛЬНОЕ ОПУБЛИКОВАНИЕ
Постановление Администрации Смоленской области от 19.11.2015 № 732
"О внесении изменений в постановление Администрации Смоленской области от 20.11.2013 № 928"
Номер опубликования: 6700201511200013
Дата опубликования: 20.11.2015
Страница №8 из 24:
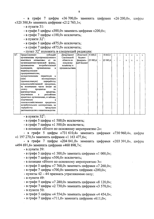
Увеличить