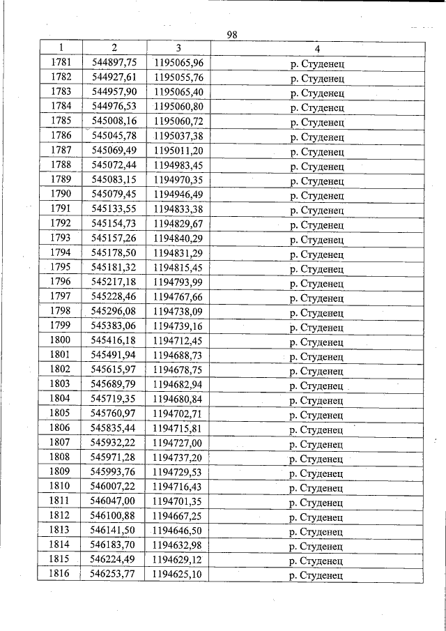
Закон Смоленской области от 28.05.2015 № 74-з
"О внесении изменений в областной закон "О наделении статусом муниципального района муниципального образования "Демидовский район" Смоленской области, об установлении границ муниципальных образований, территории которых входят в его состав, и наделении их соответствующим статусом"
"О внесении изменений в областной закон "О наделении статусом муниципального района муниципального образования "Демидовский район" Смоленской области, об установлении границ муниципальных образований, территории которых входят в его состав, и наделении их соответствующим статусом"
Номер опубликования: 6700201505280024
Дата опубликования:
28.05.2015
