Официальное опубликование правовых актов
ОФИЦИАЛЬНОЕ ОПУБЛИКОВАНИЕ
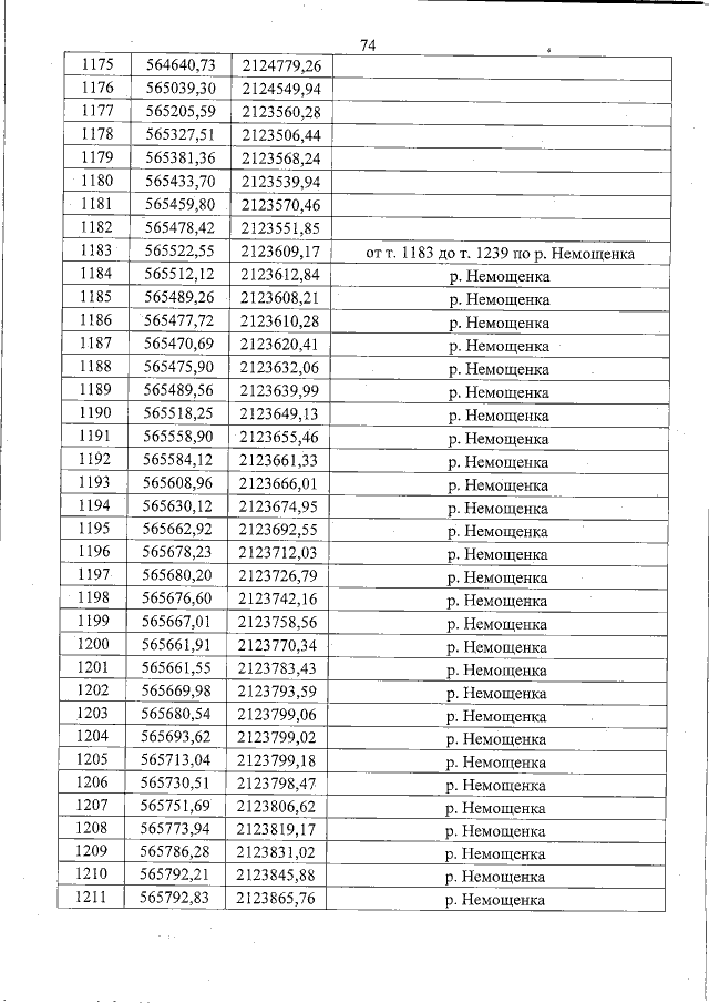
Закон Смоленской области от 28.05.2015 № 72-з
"О внесении изменений в областной закон "О наделении статусом муниципального района муниципального образования "Новодугинский район" Смоленской области, об установлении границ муниципальных образований, территории которых входят в его состав, и наделении их статусом сельских поселений"
Номер опубликования: 6700201505280014
Дата опубликования: 28.05.2015
Страница №74 из 245:
Увеличить