Постановление Администрации Смоленской области от 16.02.2015 № 55
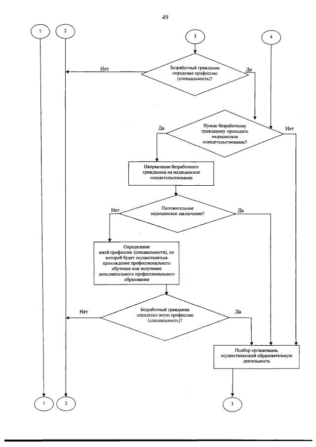
"Об утверждении Административного регламента предоставления областными государственными казенными учреждениями службы занятости населения государственной услуги "Профессиональное обучение и дополнительное профессиональное образование безработных граждан, включая обучение в другой местности"
"Об утверждении Административного регламента предоставления областными государственными казенными учреждениями службы занятости населения государственной услуги "Профессиональное обучение и дополнительное профессиональное образование безработных граждан, включая обучение в другой местности"
Номер опубликования: 6700201502180007
Дата опубликования:
18.02.2015
