Официальное опубликование правовых актов
ОФИЦИАЛЬНОЕ ОПУБЛИКОВАНИЕ
Постановление Администрации Смоленской области от 18.11.2014 № 785
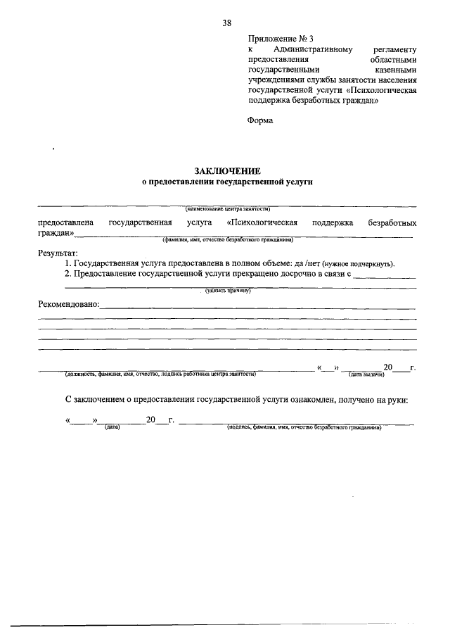
"Об утверждении Административного регламента предоставления областными государственными казенными учреждениями службы занятости населения государственной услуги "Психологическая поддержка безработных граждан"
Номер опубликования: 6700201411210023
Дата опубликования: 21.11.2014
Страница №38 из 43:
Увеличить