Официальное опубликование правовых актов
ОФИЦИАЛЬНОЕ ОПУБЛИКОВАНИЕ
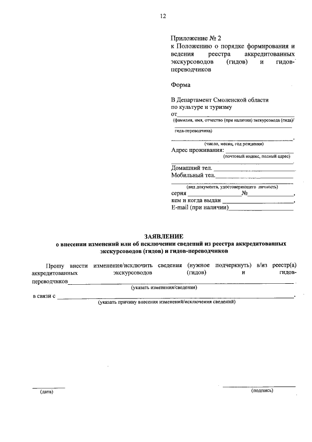
Постановление Администрации Смоленской области от 08.10.2014 № 693
"О добровольной аккредитации экскурсоводов (гидов) и гидов-переводчиков на территории Смоленской области"
Номер опубликования: 6700201410090004
Дата опубликования: 09.10.2014
Страница №12 из 12:
Увеличить