Официальное опубликование правовых актов
ОФИЦИАЛЬНОЕ ОПУБЛИКОВАНИЕ
Приказ Министерства социальной политики Свердловской области от 02.04.2026 № 118
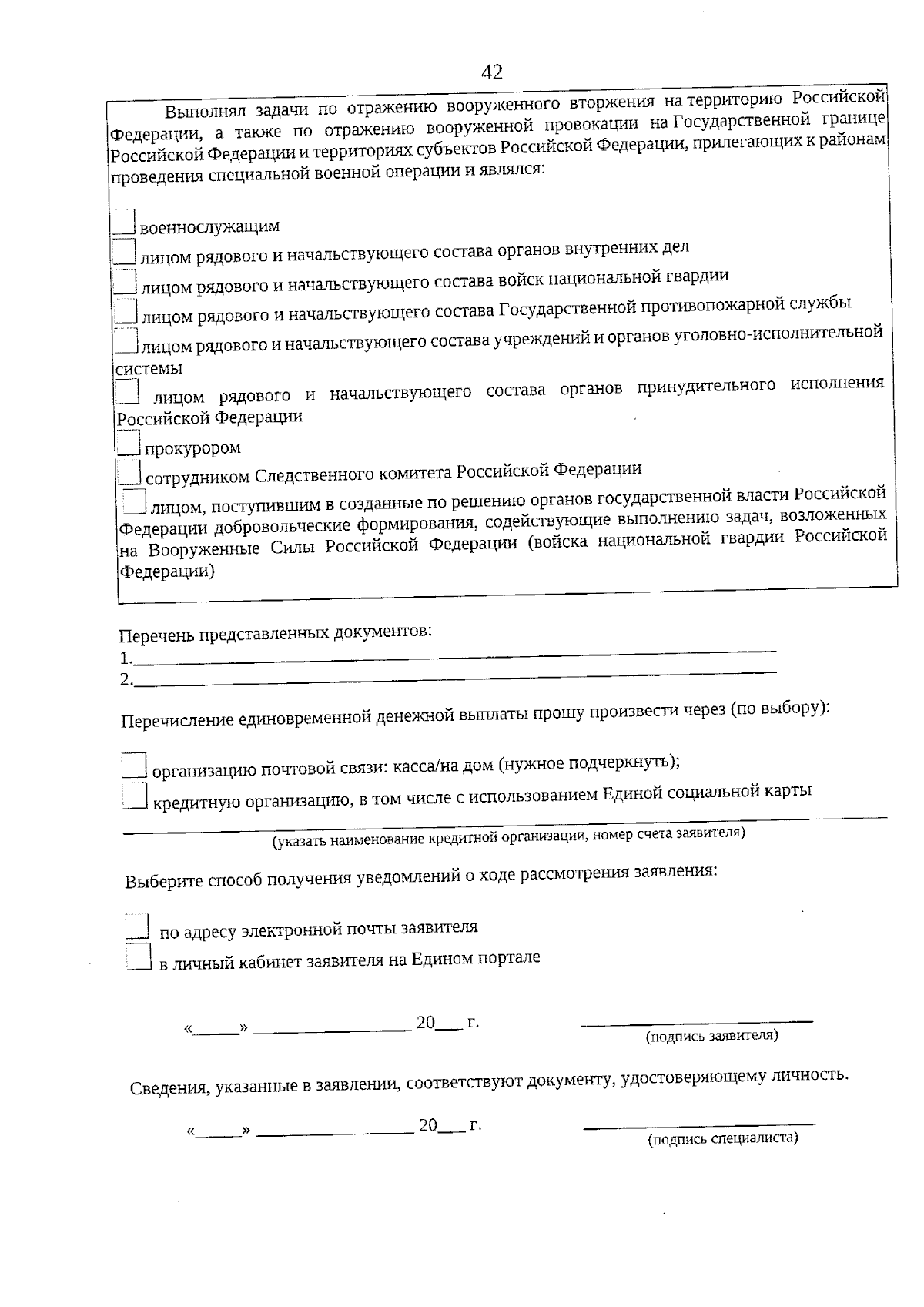
"Об утверждении Административного регламента предоставления территориальными отраслевыми исполнительными органами государственной власти Свердловской области – управлениями социальной политики Министерства социальной политики Свердловской области государственной услуги "Предоставление единовременной денежной выплаты отдельным категориям лиц, принимавших участие в специальной военной операции или выполнявших задачи по отражению вооруженного вторжения на территорию Российской Федерации, а также по отражению вооруженной провокации на Государственной границе Российской Федерации и территориях субъектов Российской Федерации, прилегающих к районам проведения специальной военной операции"
(Зарегистрирован 03.04.2026 № 4449)
Номер опубликования: 6601202604060005
Дата опубликования: 06.04.2026
Страница №42 из 44:
Увеличить