Официальное опубликование правовых актов
ОФИЦИАЛЬНОЕ ОПУБЛИКОВАНИЕ
Постановление Региональной энергетической комиссии Свердловской области от 06.12.2023 № 209-ПК
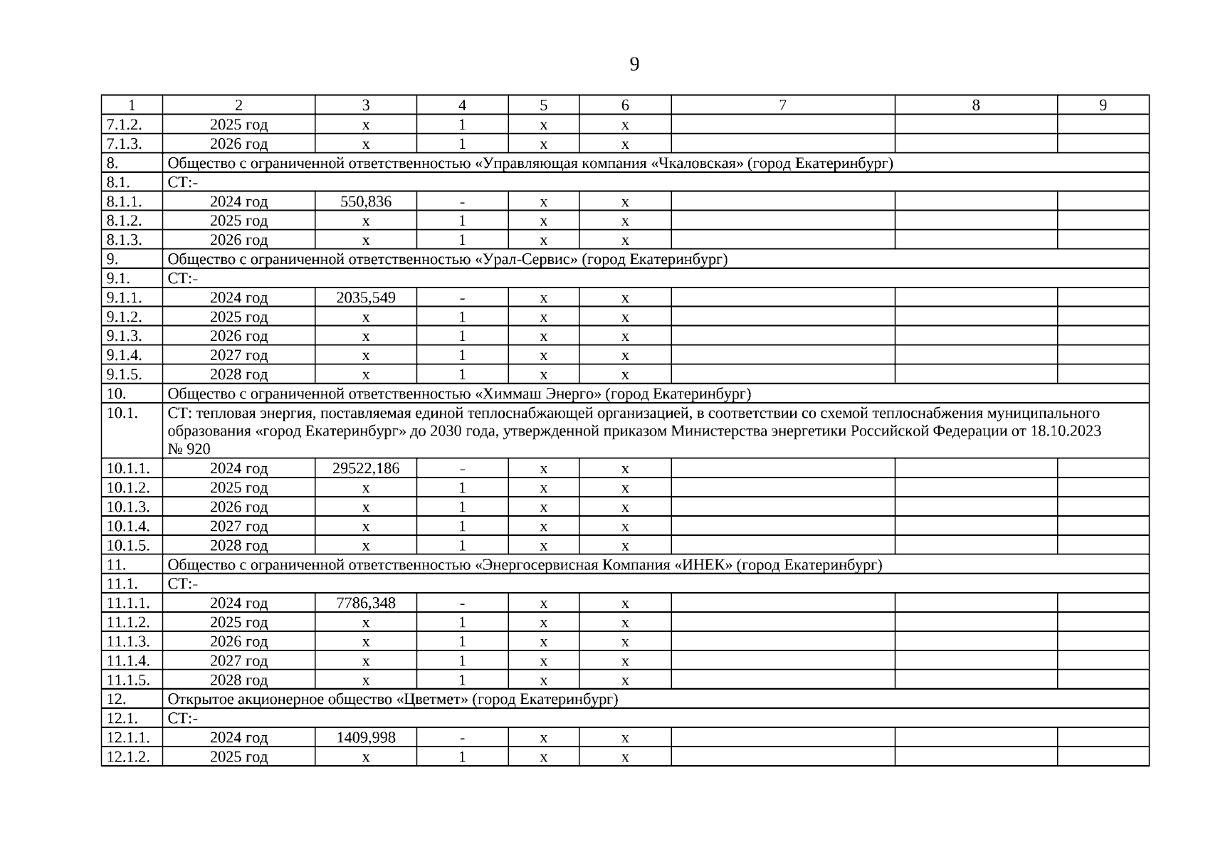
"Об установлении тарифов на тепловую энергию (услуги по передаче тепловой энергии) на территории муниципального образования "город Екатеринбург" и о внесении изменений в отдельные постановления Региональной энергетической комиссии Свердловской области об установлении тарифов на тепловую энергию (услуги по передаче тепловой энергии) на территории муниципального образования "город Екатеринбург"
(Зарегистрирован 29.01.2026 № 4190)
Номер опубликования: 6601202602040027
Дата опубликования: 04.02.2026
Страница №9 из 120:
Увеличить