Официальное опубликование правовых актов
ОФИЦИАЛЬНОЕ ОПУБЛИКОВАНИЕ
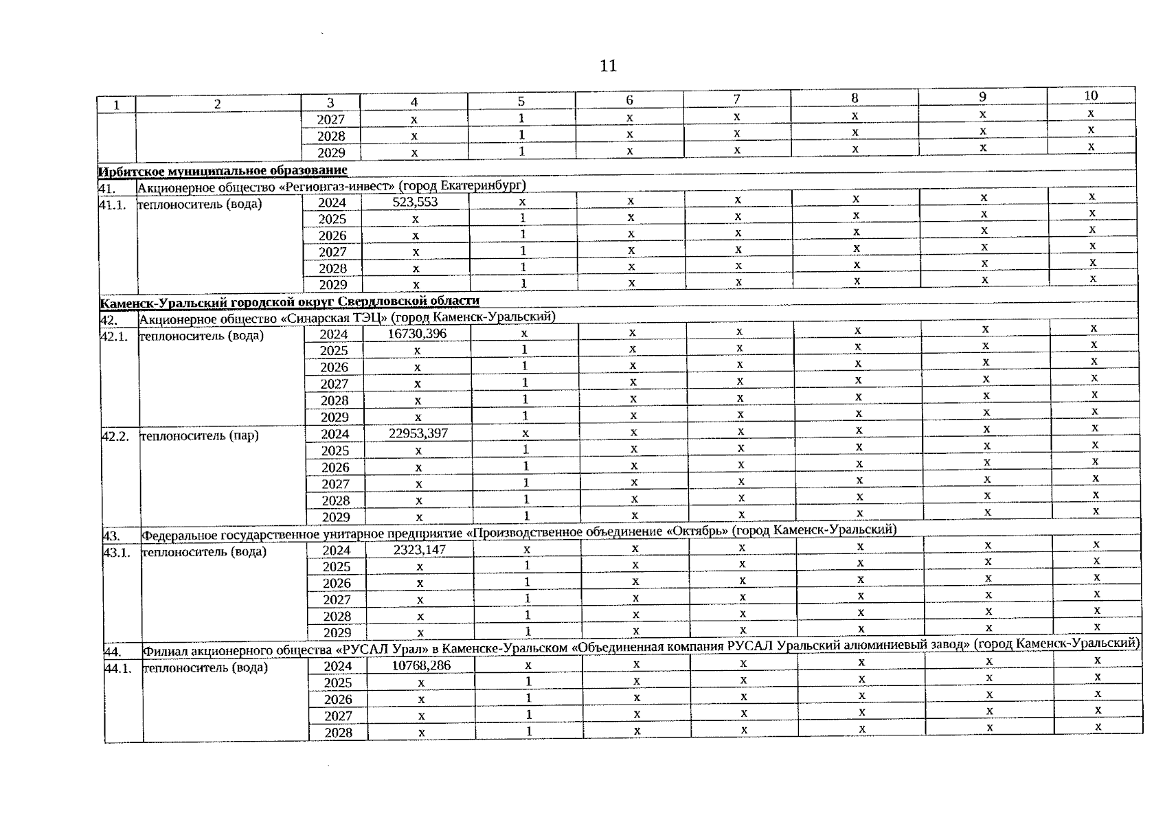
Постановление Региональной энергетической комиссии Свердловской области от 06.12.2023 № 217-ПК
"Об установлении теплоснабжающим организациям Свердловской области долгосрочных параметров регулирования, устанавливаемых на долгосрочный период регулирования для формирования тарифов на теплоноситель с использованием метода индексации установленных тарифов"
(Зарегистрирован 29.01.2026 № 4198)
Номер опубликования: 6601202602040017
Дата опубликования: 04.02.2026
Страница №11 из 22:
Увеличить