Официальное опубликование правовых актов
ОФИЦИАЛЬНОЕ ОПУБЛИКОВАНИЕ
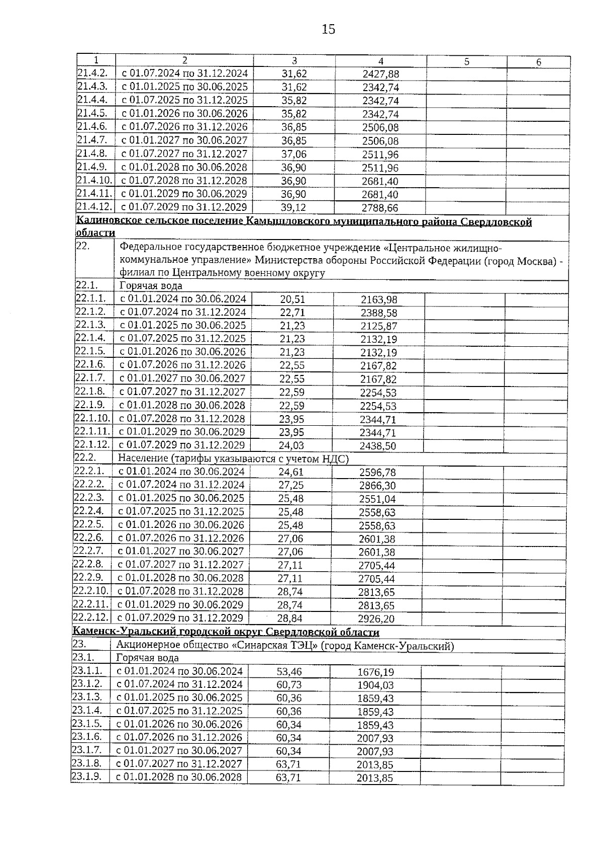
Постановление Региональной энергетической комиссии Свердловской области от 13.12.2023 № 232-ПК
"Об установлении тарифов на горячую воду в закрытых системах горячего водоснабжения, поставляемую организациями Свердловской области, с использованием метода индексации на основе долгосрочных параметров регулирования тарифов"
(Зарегистрирован 29.01.2026 № 4212)
Номер опубликования: 6601202602030057
Дата опубликования: 03.02.2026
Страница №15 из 31:
Увеличить