Официальное опубликование правовых актов
ОФИЦИАЛЬНОЕ ОПУБЛИКОВАНИЕ
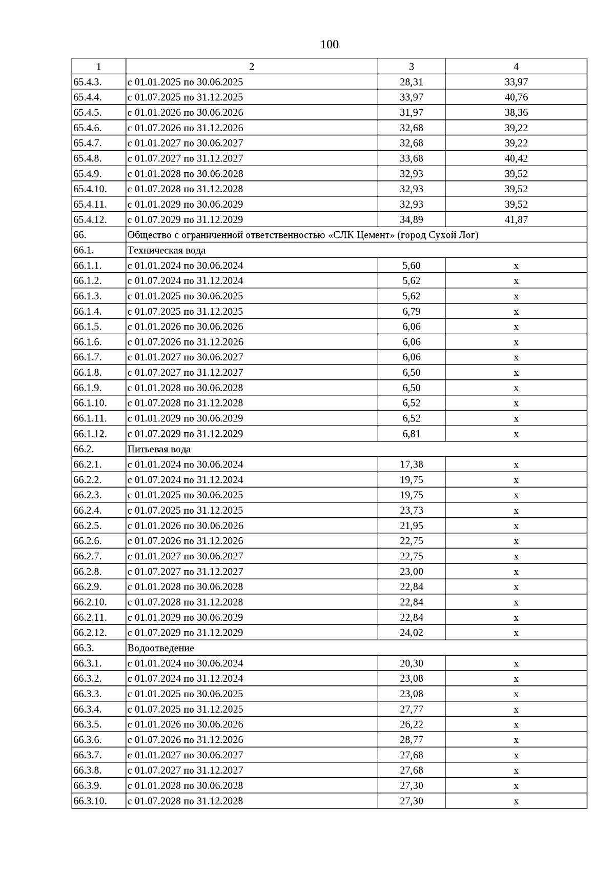
Постановление Региональной энергетической комиссии Свердловской области от 12.12.2024 № 175-ПК
"О внесении изменений в отдельные постановления Региональной энергетической комиссии Свердловской области об установлении тарифов в сфере водоснабжения и (или) водоотведения организациям водопроводно-канализационного хозяйства Свердловской области"
(Зарегистрирован 19.01.2026 № 4018)
Номер опубликования: 6601202601230116
Дата опубликования: 23.01.2026
Страница №100 из 143:
Увеличить