Официальное опубликование правовых актов
ОФИЦИАЛЬНОЕ ОПУБЛИКОВАНИЕ
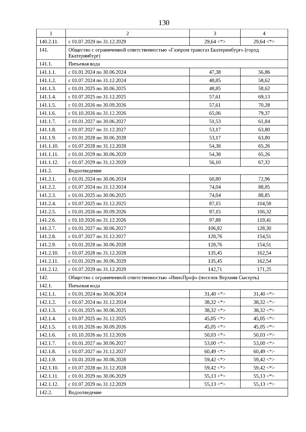
Постановление Региональной энергетической комиссии Свердловской области от 15.12.2025 № 294-ПК
"О внесении изменений в отдельные постановления Региональной энергетической комиссии Свердловской области об установлении долгосрочных параметров регулирования и тарифов в сфере водоснабжения и (или) водоотведения организациям водопроводно-канализационного хозяйства Свердловской области"
(Зарегистрирован 23.12.2025 № 3789)
Номер опубликования: 6601202512290042
Дата опубликования: 29.12.2025
Страница №130 из 148:
Увеличить