Официальное опубликование правовых актов
ОФИЦИАЛЬНОЕ ОПУБЛИКОВАНИЕ
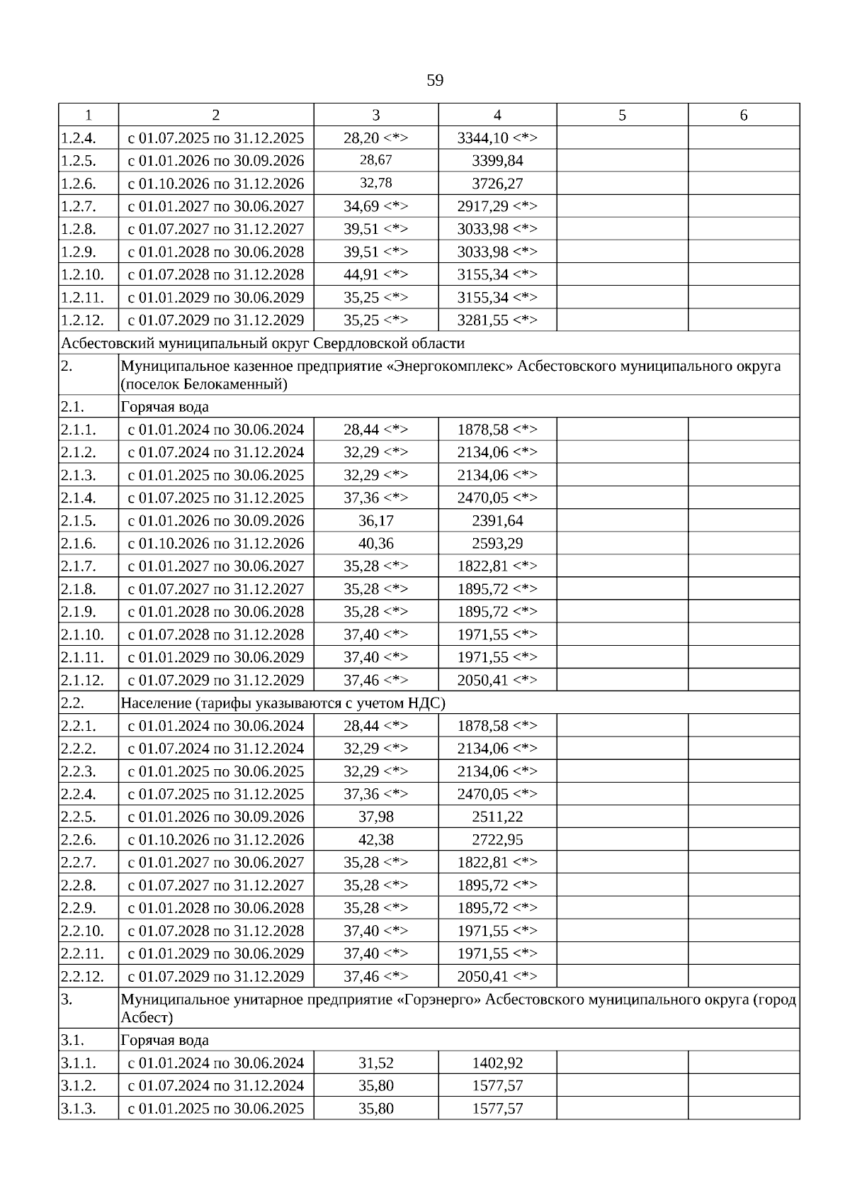
Постановление Региональной энергетической комиссии Свердловской области от 18.12.2025 № 302-ПК
"О внесении изменений в отдельные постановления Региональной энергетической комиссии Свердловской области по установлению тарифов на услуги горячего водоснабжения организациям, осуществляющим горячее водоснабжение с использованием закрытых систем горячего водоснабжения"
(Зарегистрирован 23.12.2025 № 3793)
Номер опубликования: 6601202512290033
Дата опубликования: 29.12.2025
Страница №59 из 119:
Увеличить