Официальное опубликование правовых актов
ОФИЦИАЛЬНОЕ ОПУБЛИКОВАНИЕ
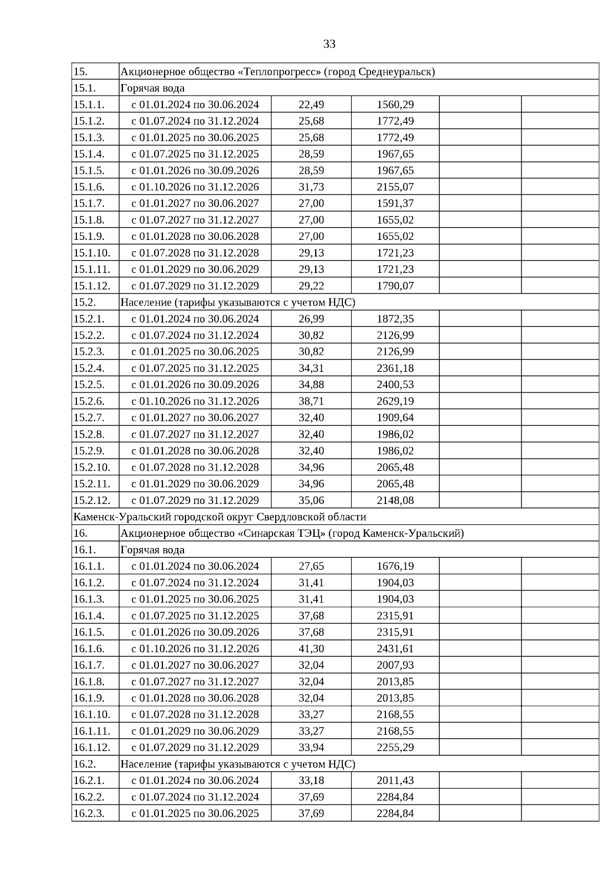
Постановление Региональной энергетической комиссии Свердловской области от 18.12.2025 № 306-ПК
"О внесении изменений в отдельные постановления Региональной энергетической комиссии Свердловской области об установлении тарифов на горячую воду в открытых системах теплоснабжения (горячего водоснабжения)"
(Зарегистрирован 23.12.2025 № 3796)
Номер опубликования: 6601202512290028
Дата опубликования: 29.12.2025
Страница №33 из 51:
Увеличить