Официальное опубликование правовых актов
ОФИЦИАЛЬНОЕ ОПУБЛИКОВАНИЕ
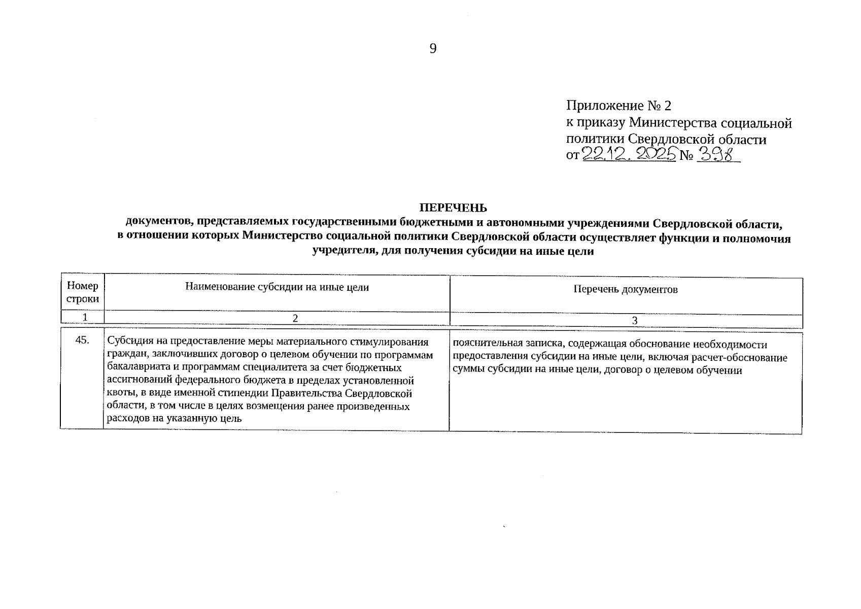
Приказ Министерства социальной политики Свердловской области от 22.12.2025 № 398
"О внесении изменений в Порядок определения объема и условия предоставления государственным бюджетным и автономным учреждениям Свердловской области, в отношении которых Министерство социальной политики Свердловской области осуществляет функции и полномочия учредителя, субсидий на иные цели, утвержденный приказом Министерства социальной политики Свердловской области от 30.03.2021 № 134"
(Зарегистрирован 26.12.2025 № 3809)
Номер опубликования: 6601202512270004
Дата опубликования: 27.12.2025
Страница №9 из 9:
Увеличить