Приказ Управления государственной охраны объектов культурного наследия Свердловской области от 15.12.2025 № 700
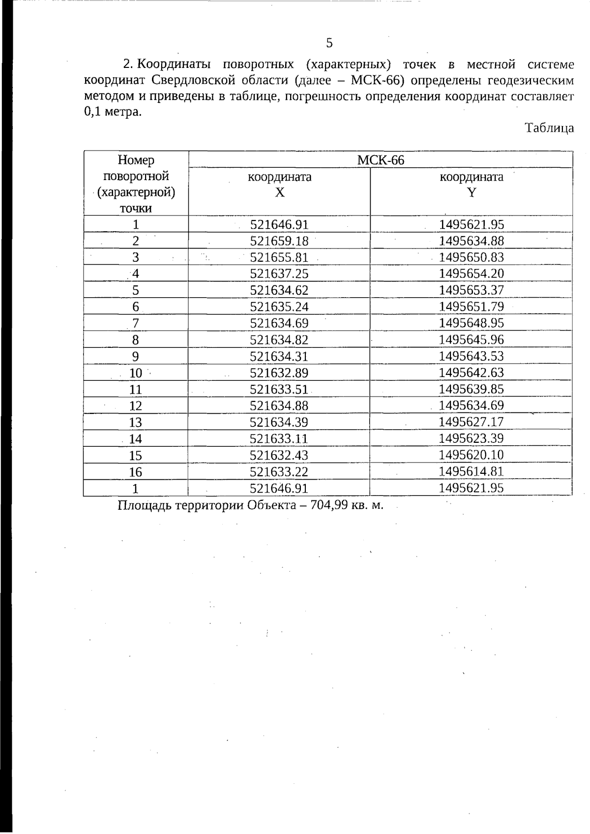
"О включении выявленного объекта культурного наследия "Стоянка Ольховка III", ранний железный век, расположенного по адресу (местонахождение): Свердловская область, г. Нижний Тагил, Тагилстроевский район, правый берег р. Ольховка (объект археологического наследия), в перечень выявленных объектов культурного наследия Свердловской области, утверждении его границ территории и установлении режима использования данной территории"
(Зарегистрирован 18.12.2025 № 3682)
"О включении выявленного объекта культурного наследия "Стоянка Ольховка III", ранний железный век, расположенного по адресу (местонахождение): Свердловская область, г. Нижний Тагил, Тагилстроевский район, правый берег р. Ольховка (объект археологического наследия), в перечень выявленных объектов культурного наследия Свердловской области, утверждении его границ территории и установлении режима использования данной территории"
(Зарегистрирован 18.12.2025 № 3682)
Номер опубликования: 6601202512220002
Дата опубликования:
22.12.2025
