Официальное опубликование правовых актов
ОФИЦИАЛЬНОЕ ОПУБЛИКОВАНИЕ
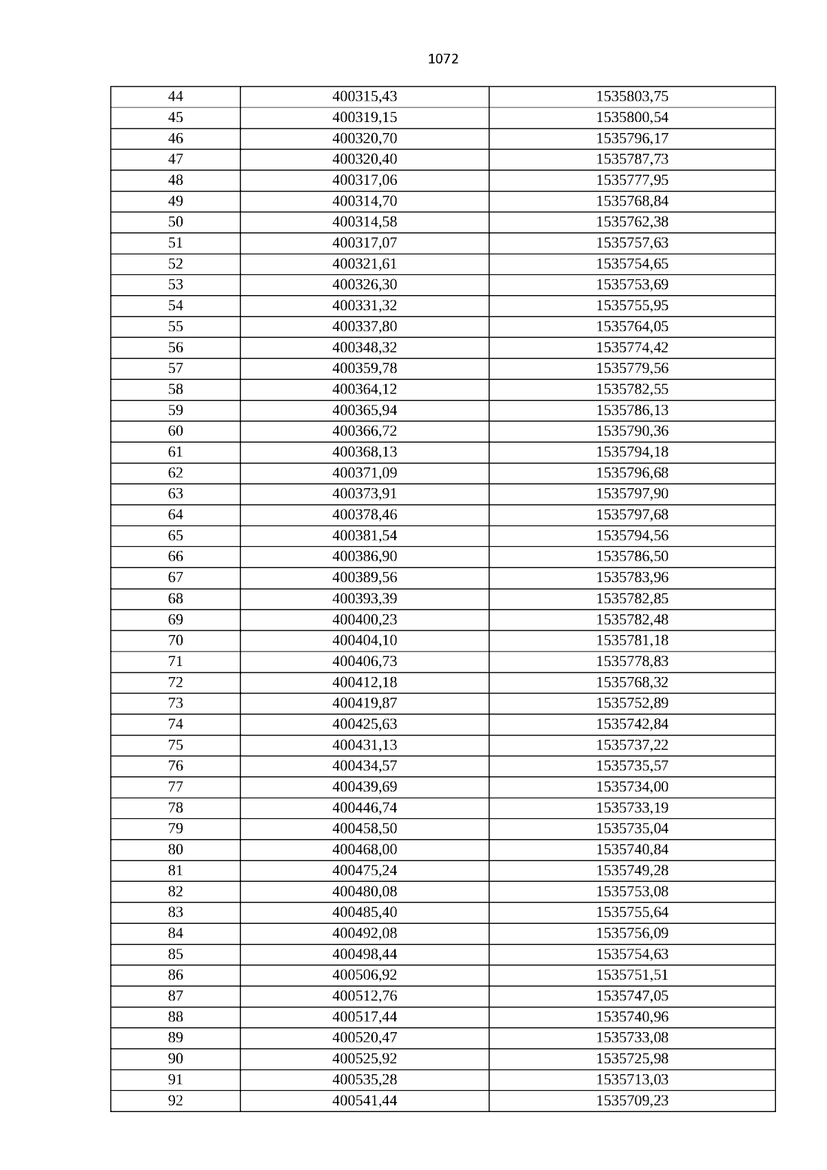
Приказ Министерства природных ресурсов и экологии Свердловской области от 21.08.2025 № 1151
"О внесении изменений в приказ Министерства природных ресурсов и экологии Свердловской области от 30.10.2019 № 1779 "Об установлении границ водоохранных зон, прибрежных защитных полос и береговых линий водных объектов бассейна реки Пышма, расположенных на территории Свердловской области, в том числе перечень координат их опорных точек"
(Зарегистрирован 15.12.2025 № 3614)
Номер опубликования: 6601202512180028
Дата опубликования: 18.12.2025
Страница №1072 из 1085:
Увеличить