Приказ Министерства природных ресурсов и экологии Свердловской области от 23.05.2025 № 682
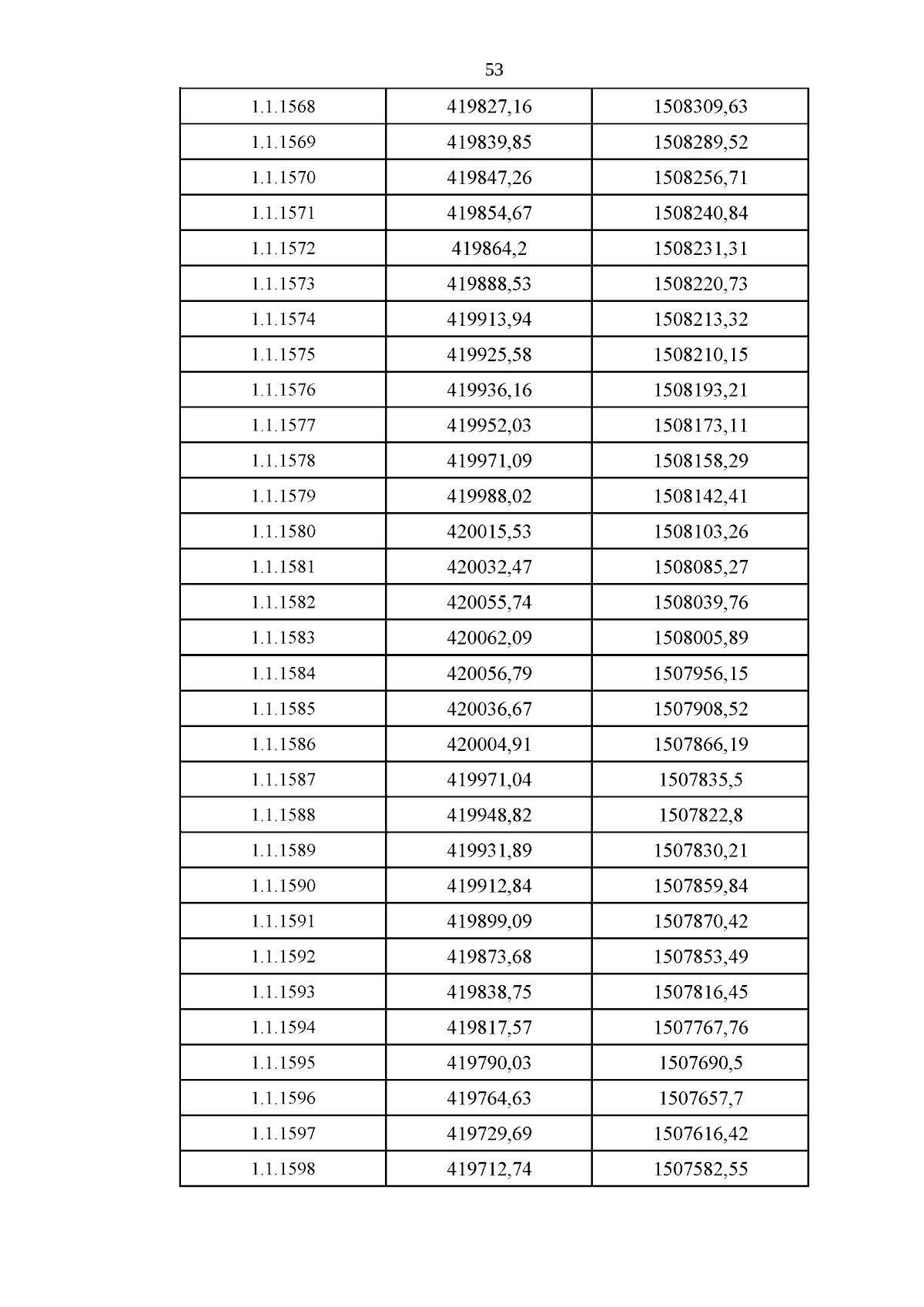
"О внесении изменений в приказ Министерства природных ресурсов и экологии Свердловской области от 16.09.2019 № 1525 "Об установлении границ водоохранных зон, прибрежных защитных полос и береговых линий водных объектов бассейна реки Ница, расположенных на территории Свердловской области, в том числе перечень координат их опорных точек"
(Зарегистрирован 15.12.2025 № 3606)
"О внесении изменений в приказ Министерства природных ресурсов и экологии Свердловской области от 16.09.2019 № 1525 "Об установлении границ водоохранных зон, прибрежных защитных полос и береговых линий водных объектов бассейна реки Ница, расположенных на территории Свердловской области, в том числе перечень координат их опорных точек"
(Зарегистрирован 15.12.2025 № 3606)
Номер опубликования: 6601202512180015
Дата опубликования:
18.12.2025
