Официальное опубликование правовых актов
ОФИЦИАЛЬНОЕ ОПУБЛИКОВАНИЕ
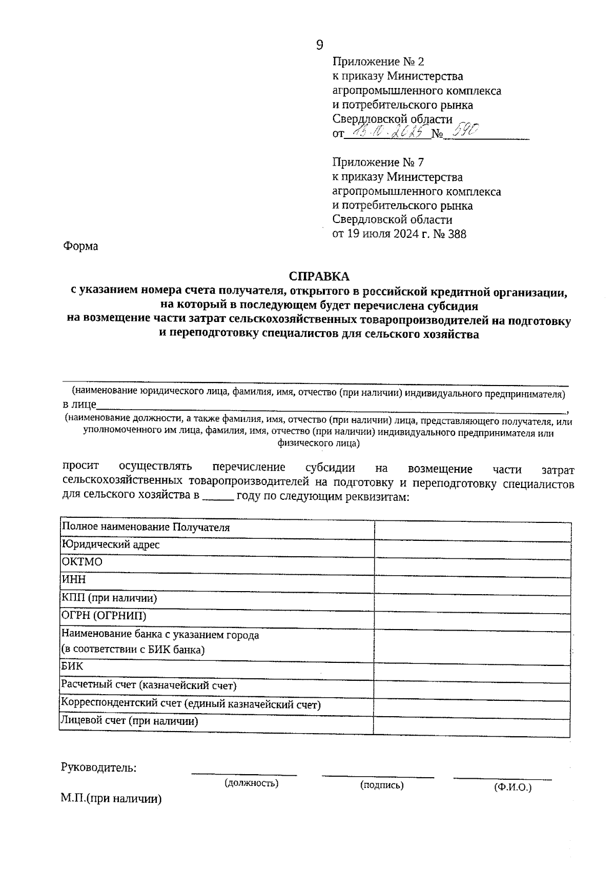
Приказ Министерства агропромышленного комплекса и потребительского рынка Свердловской области от 13.10.2025 № 590
"О внесении изменений в приказ Министерства агропромышленного комплекса и потребительского рынка Свердловской области от 19.07.2024 № 388 "О реализации Порядка предоставления субсидий на возмещение части затрат сельскохозяйственных товаропроизводителей на подготовку и переподготовку специалистов для сельского хозяйства, утвержденного постановлением Правительства Свердловской области от 16.07.2019 № 425-ПП"
(Зарегистрирован 14.10.2025 № 3371)
Номер опубликования: 6601202510140004
Дата опубликования: 14.10.2025
Страница №9 из 9:
Увеличить