Официальное опубликование правовых актов
ОФИЦИАЛЬНОЕ ОПУБЛИКОВАНИЕ
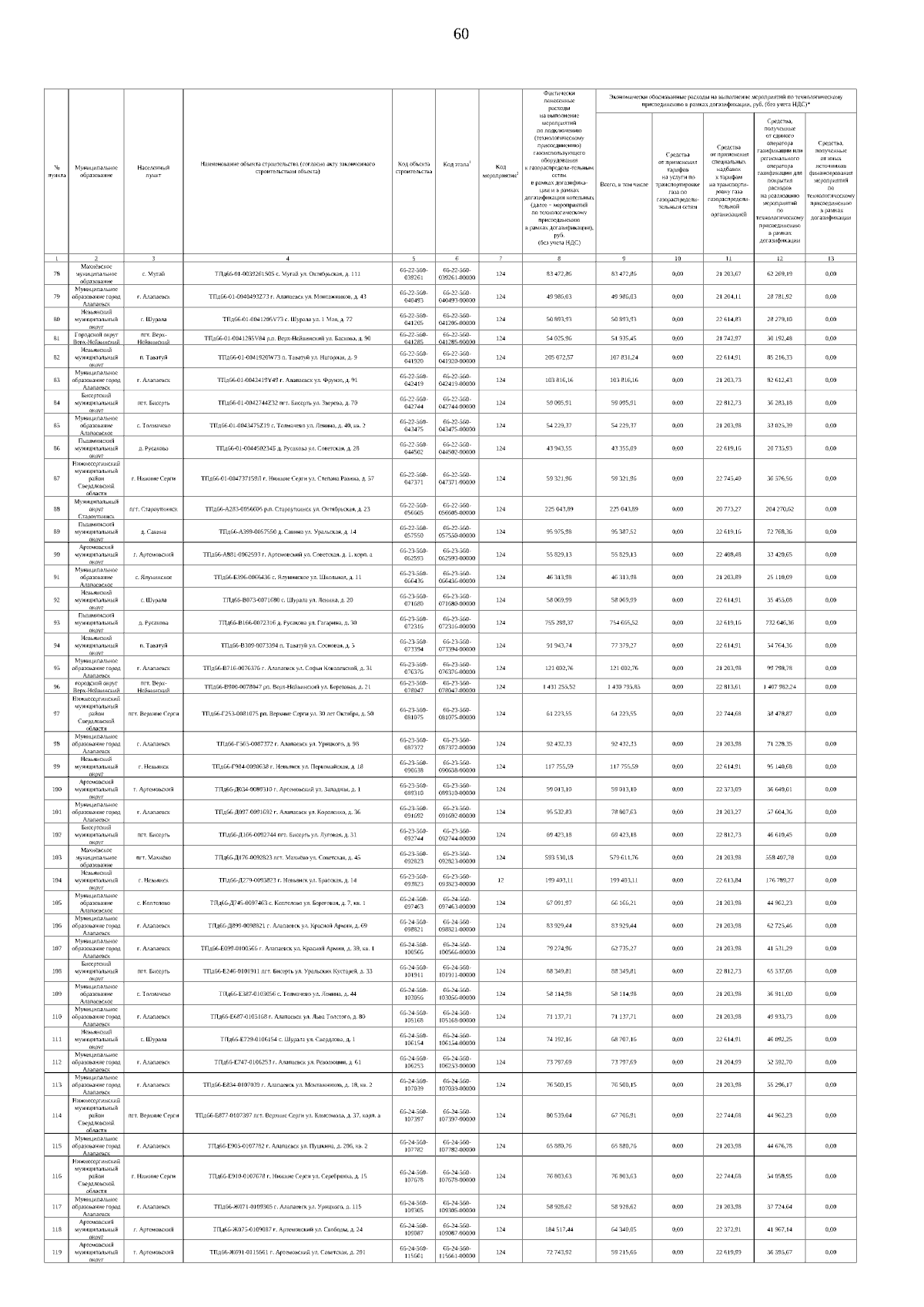
Постановление Региональной энергетической комиссии Свердловской области от 20.08.2025 № 112-ПК
"Об утверждении размера экономически обоснованных расходов на выполнение мероприятий по технологическому присоединению газоиспользующего оборудования заявителей в рамках догазификации"
(Зарегистрирован 25.08.2025 № 3194)
Номер опубликования: 6601202508260005
Дата опубликования: 26.08.2025
Страница №60 из 66:
Увеличить