Официальное опубликование правовых актов
ОФИЦИАЛЬНОЕ ОПУБЛИКОВАНИЕ
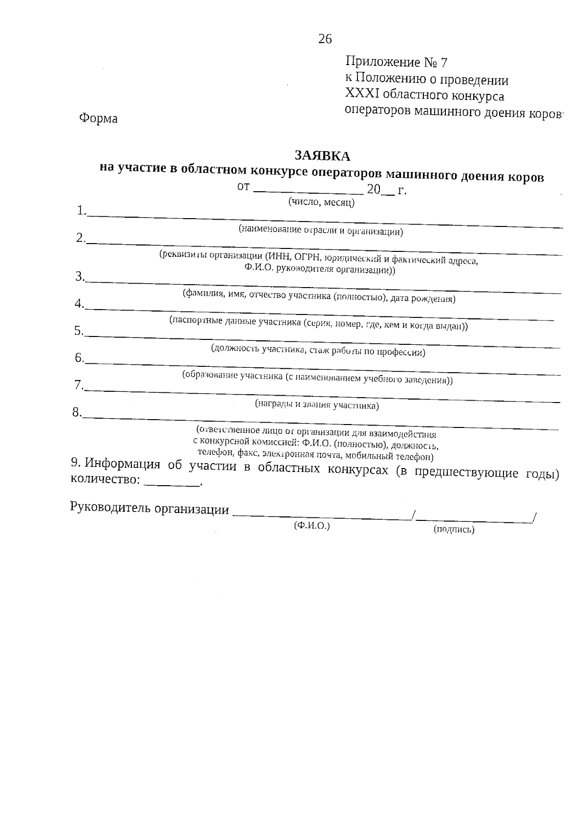
Приказ Министерства агропромышленного комплекса и потребительского рынка Свердловской области от 12.05.2025 № 209
"О проведении XXXI областного конкурса операторов машинного доения коров"
(Зарегистрирован 14.05.2025 № 2932)
Номер опубликования: 6601202505140003
Дата опубликования: 14.05.2025
Страница №26 из 27:
Увеличить