Официальное опубликование правовых актов
ОФИЦИАЛЬНОЕ ОПУБЛИКОВАНИЕ
Приказ Министерства строительства и развития инфраструктуры Свердловской области от 26.03.2025 № 178-П
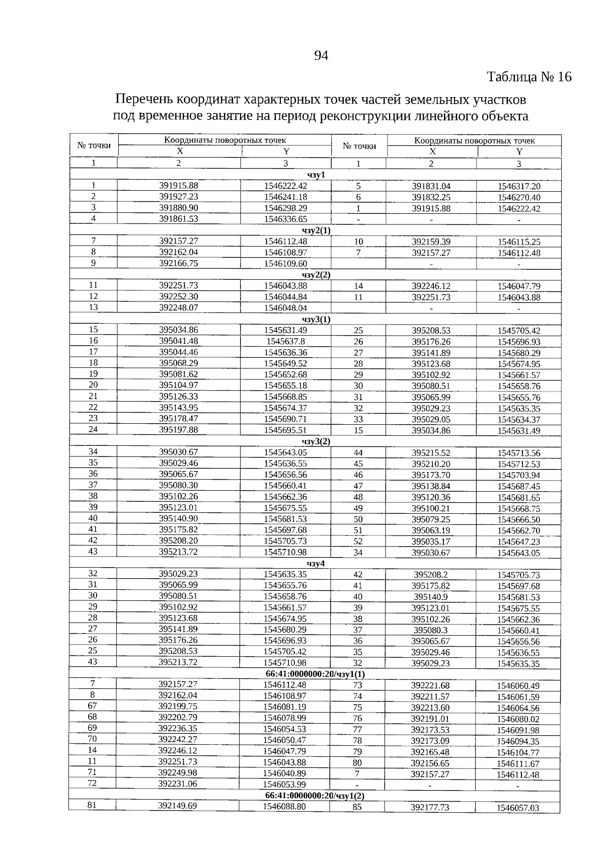
"Об утверждении основной части проекта планировки территории для размещения линейного объекта транспортной инфраструктуры регионального значения "Реконструкция автомобильной дороги Екатеринбургская кольцевая автомобильная дорога на участке км 10+225 – км 24+380 на территории муниципального образования "город Екатеринбург" и Березовского городского округа". Этап II "Реконструкция автомобильной дороги на участке км 12+708 – км 20+300" и основной части проекта межевания территории для размещения линейного объекта транспортной инфраструктуры регионального значения "Реконструкция автомобильной дороги Екатеринбургская кольцевая автомобильная дорога на участке км 10+225 – км 24+380 на территории муниципального образования "город Екатеринбург" и Березовского городского округа". Этап II "Реконструкция автомобильной дороги на участке км 12+708 – км 20+300"
(Зарегистрирован 01.04.2025 № 2804)
Номер опубликования: 6601202504020004
Дата опубликования: 02.04.2025
Страница №94 из 115:
Увеличить