Официальное опубликование правовых актов
ОФИЦИАЛЬНОЕ ОПУБЛИКОВАНИЕ
Постановление Региональной энергетической комиссии Свердловской области от 27.02.2025 № 28-ПК
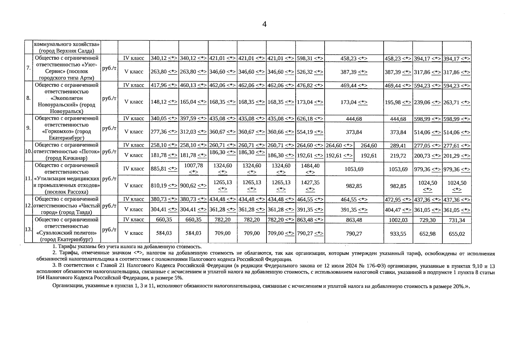
"О внесении изменения в постановление Региональной энергетической комиссии Свердловской области от 09.12.2021 № 217-ПК "Об утверждении производственных программ в области обращения с твердыми коммунальными отходами, установлении долгосрочных параметров регулирования тарифов, определяемых на долгосрочный период регулирования для установления предельных тарифов на захоронение твердых коммунальных отходов, и установлении предельных тарифов на захоронение твердых коммунальных отходов операторам по обращению с твердыми коммунальными отходами в Свердловской области на 2022–2026 годы"
(Зарегистрирован 05.03.2025 № 2723)
Номер опубликования: 6601202503050013
Дата опубликования: 05.03.2025
Страница №4 из 7:
Увеличить