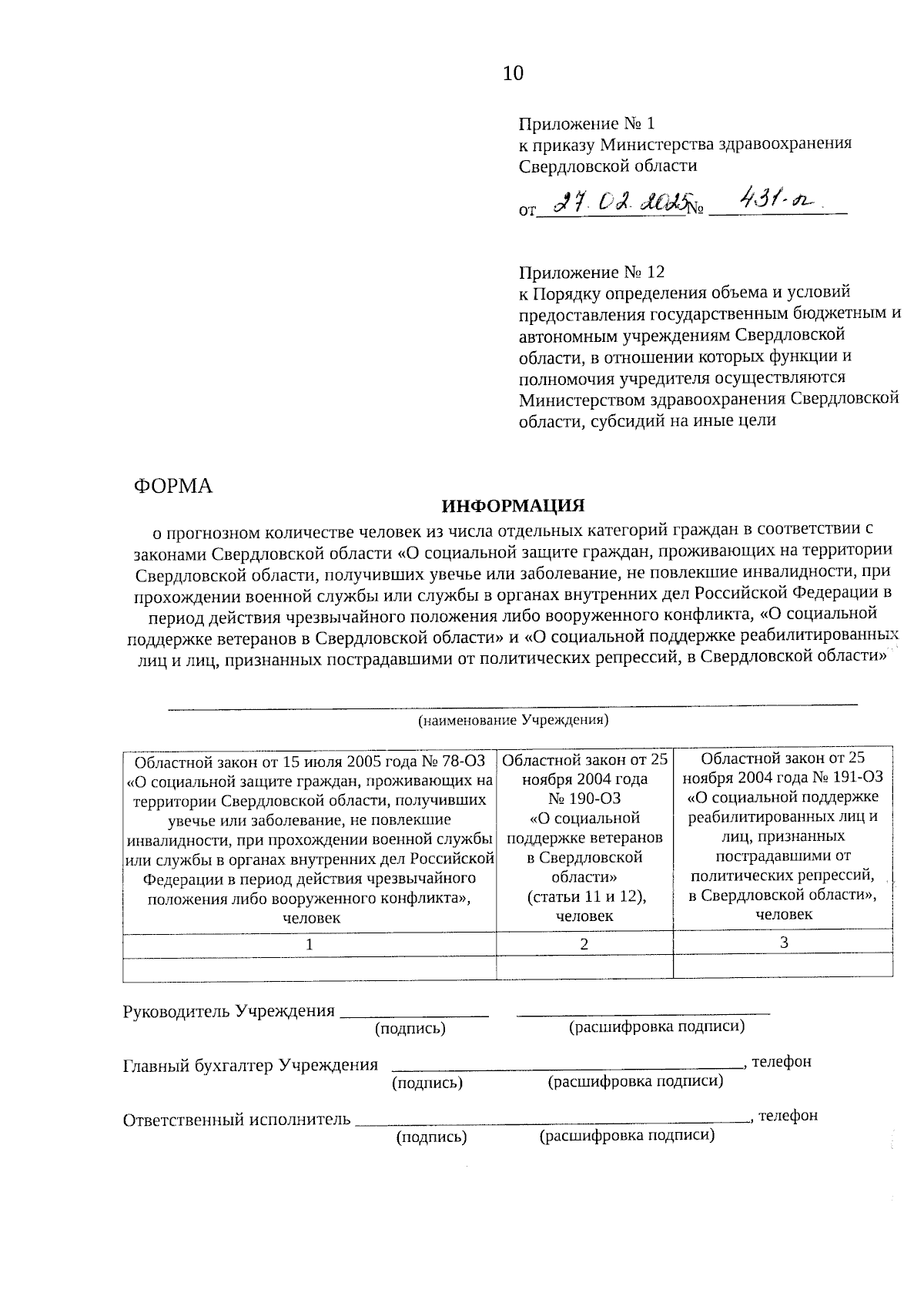
Приказ Министерства здравоохранения Свердловской области от 27.02.2025 № 431-п
"О внесении изменений в Порядок определения объема и условий предоставления государственным бюджетным и автономным учреждениям Свердловской области, в отношении которых функции и полномочия учредителя осуществляются Министерством здравоохранения Свердловской области, субсидий на иные цели, утвержденный приказом Министерства здравоохранения Свердловской области от 26.04.2024 № 1000-п"
(Зарегистрирован 03.03.2025 № 2709)
"О внесении изменений в Порядок определения объема и условий предоставления государственным бюджетным и автономным учреждениям Свердловской области, в отношении которых функции и полномочия учредителя осуществляются Министерством здравоохранения Свердловской области, субсидий на иные цели, утвержденный приказом Министерства здравоохранения Свердловской области от 26.04.2024 № 1000-п"
(Зарегистрирован 03.03.2025 № 2709)
Номер опубликования: 6601202503040003
Дата опубликования:
04.03.2025
