Официальное опубликование правовых актов
ОФИЦИАЛЬНОЕ ОПУБЛИКОВАНИЕ
Приказ Управления государственной охраны объектов культурного наследия Свердловской области от 28.02.2025 № 108
"Об установлении объединенной зоны охраны объектов культурного наследия регионального значения "Жилой дом купца Никитина", "Жилой дом купца Колодкина" и "Жилой дом золотопромышленника Курочкина" и объекта культурного наследия местного (муниципального) значения "Торговое здание купчихи Богатыревой", расположенных по адресу (местоположение): Свердловская область, г. Кушва, и утверждении требований к градостроительным регламентам в границах данной зоны"
(Зарегистрирован 03.03.2025 № 2704)
Номер опубликования: 6601202503030005
Дата опубликования: 03.03.2025
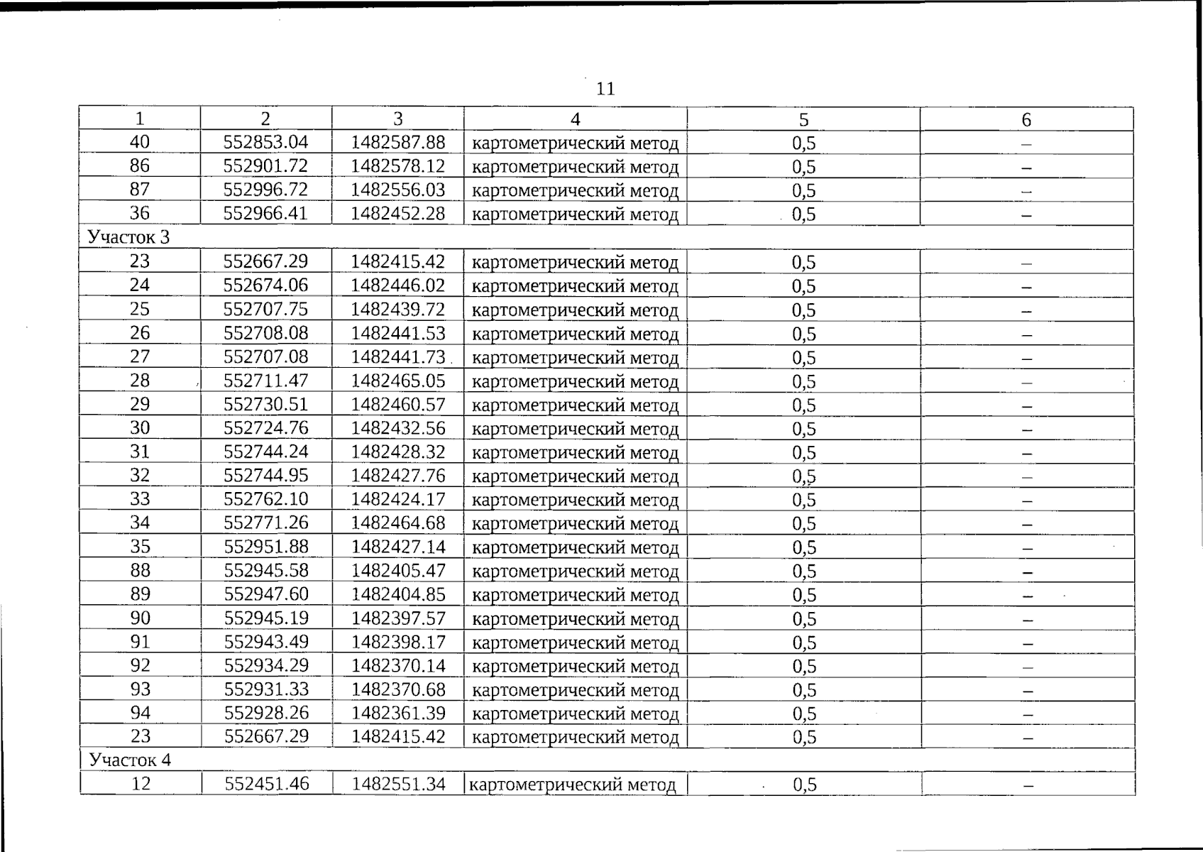
Страница №11 из 21:
Увеличить