Официальное опубликование правовых актов
ОФИЦИАЛЬНОЕ ОПУБЛИКОВАНИЕ
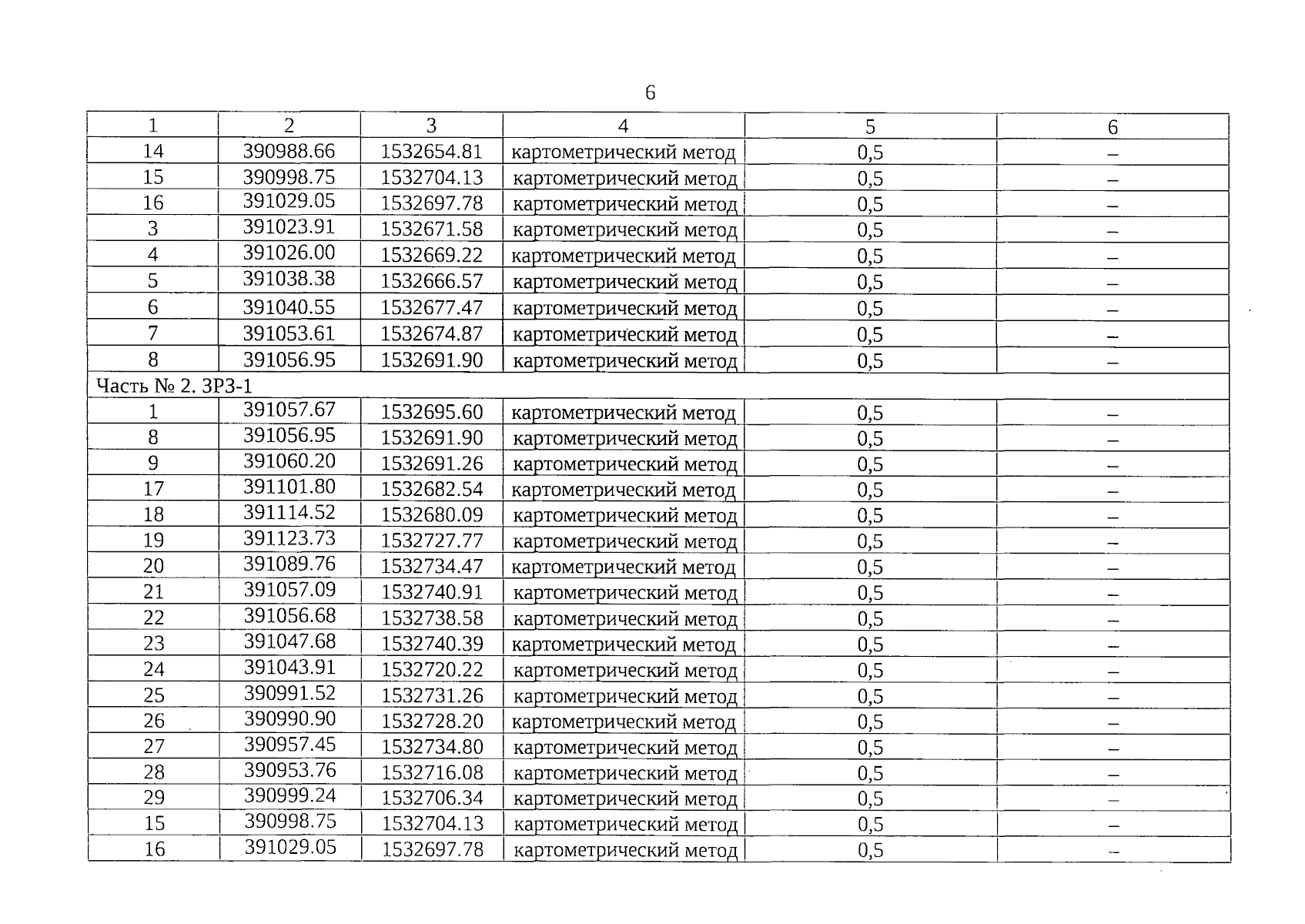
Приказ Управления государственной охраны объектов культурного наследия Свердловской области от 24.02.2025 № 103
"Об установлении зон охраны объекта культурного наследия регионального значения "Особняк статского советника Ф.Л. Миллера", расположенного по адресу: Свердловская область, г. Екатеринбург, ул. Шейнкмана, д. 18, и утверждении требований к градостроительным регламентам в границах данных зон"
(Зарегистрирован 25.02.2025 № 2694)
Номер опубликования: 6601202502250001
Дата опубликования: 25.02.2025
Страница №6 из 15:
Увеличить