Официальное опубликование правовых актов
ОФИЦИАЛЬНОЕ ОПУБЛИКОВАНИЕ
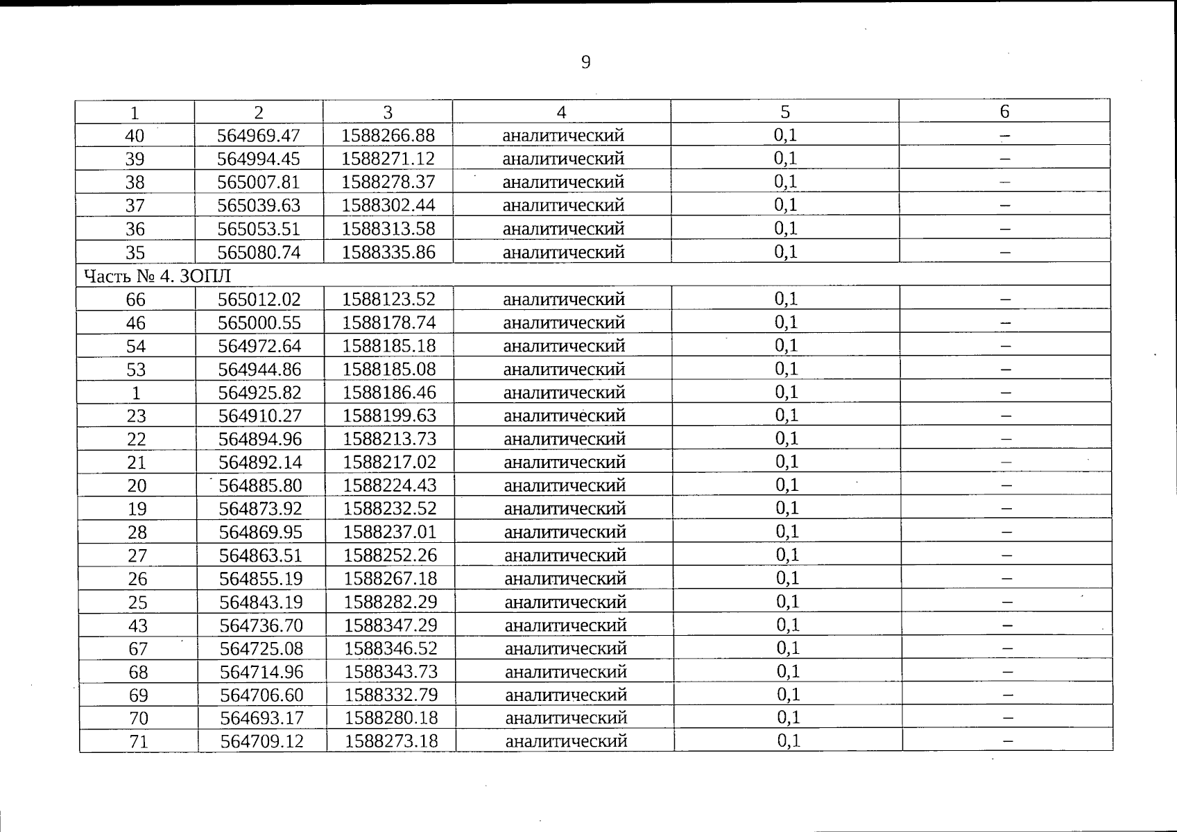
Приказ Управления государственной охраны объектов культурного наследия Свердловской области от 03.02.2025 № 51
"Об установлении зон охраны объекта культурного наследия регионального значения "Здание Мугайской школы (в деревянном исполнении с элементами стиля модерн)", расположенного по адресу: Свердловская область, Алапаевский район, с. Мугай, ул. Октябрьская, д. 93, и утверждении требований к градостроительным регламентам в границах данных зон"
(Зарегистрирован 04.02.2025 № 2639)
Номер опубликования: 6601202502050011
Дата опубликования: 05.02.2025
Страница №9 из 19:
Увеличить