Официальное опубликование правовых актов
ОФИЦИАЛЬНОЕ ОПУБЛИКОВАНИЕ
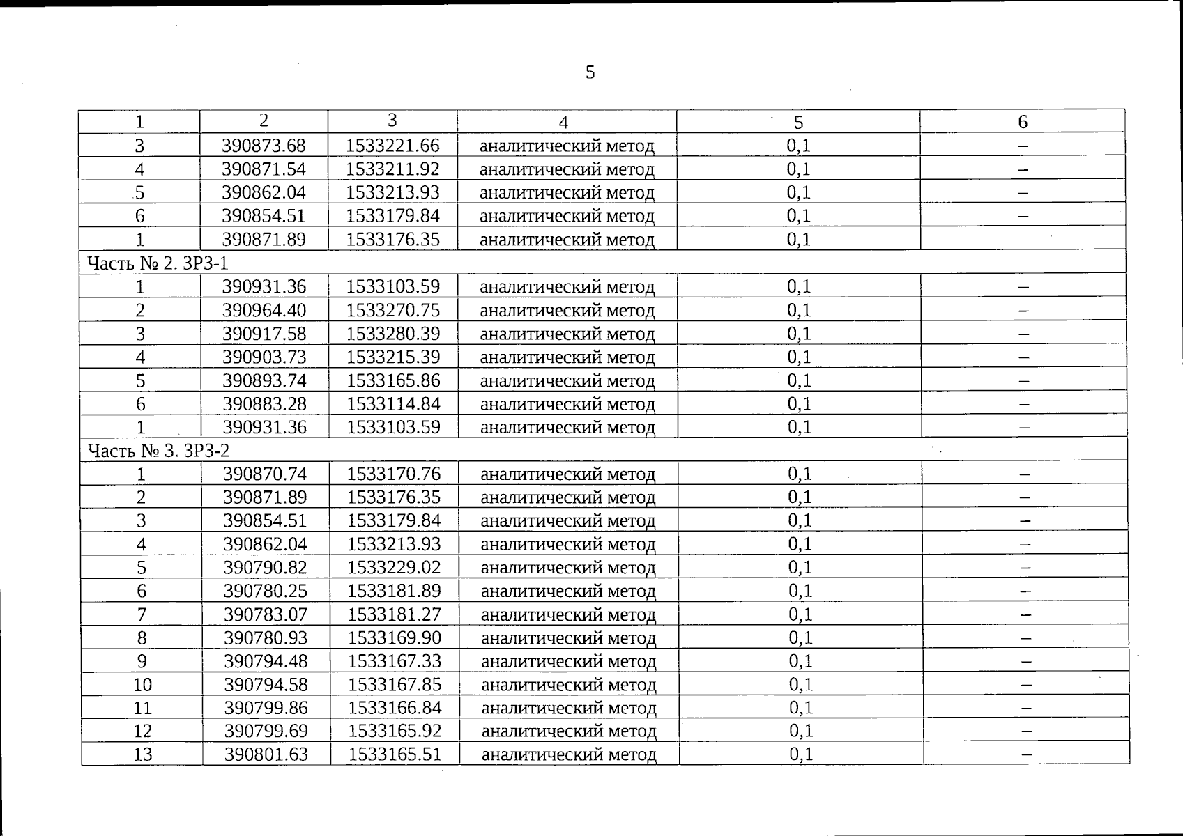
Приказ Управления государственной охраны объектов культурного наследия Свердловской области от 03.02.2025 № 49
"Об установлении зон охраны объекта культурного наследия регионального значения "Дом жилой", расположенного по адресу: Свердловская область, г. Екатеринбург, пр. Ленина, д. 22-а, и утверждении требований к градостроительным регламентам в границах данных зон"
(Зарегистрирован 04.02.2025 № 2637)
Номер опубликования: 6601202502050007
Дата опубликования: 05.02.2025
Страница №5 из 15:
Увеличить