Официальное опубликование правовых актов
ОФИЦИАЛЬНОЕ ОПУБЛИКОВАНИЕ
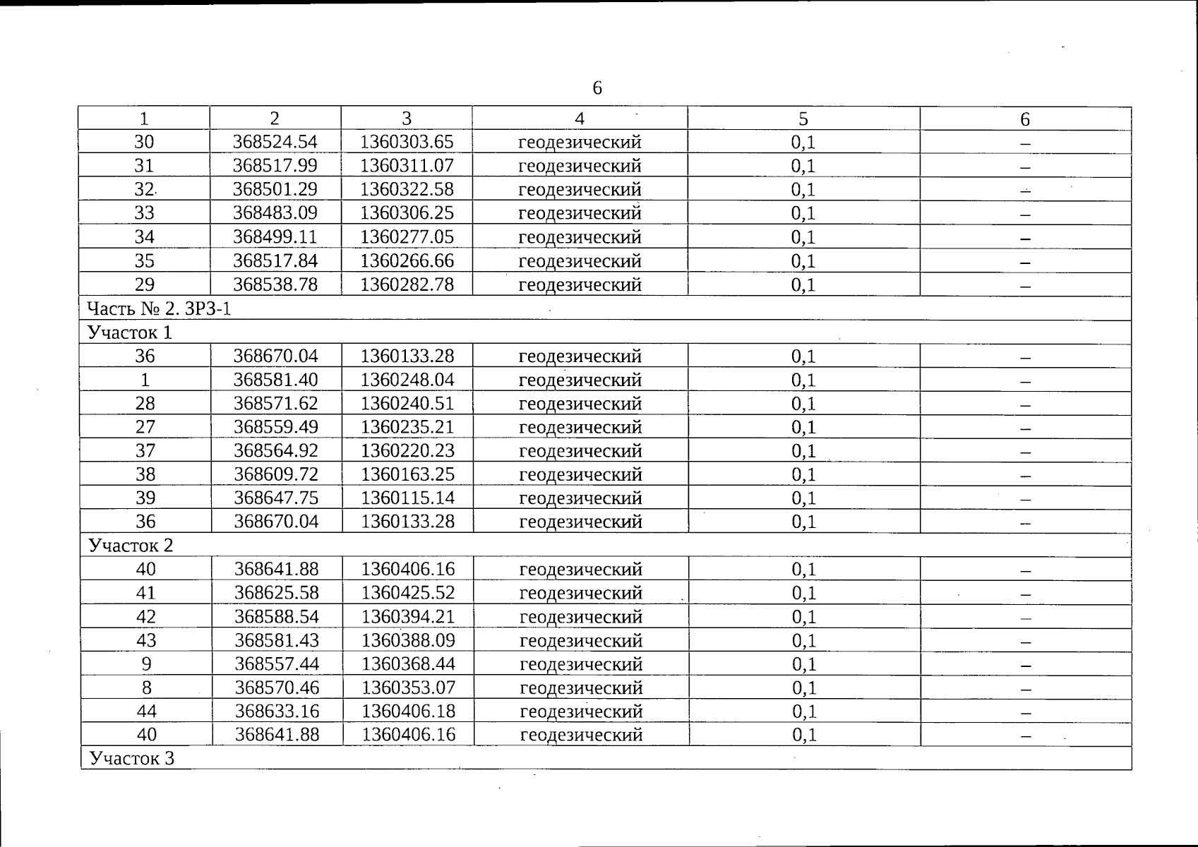
Приказ Управления государственной охраны объектов культурного наследия Свердловской области от 03.02.2025 № 50
"Об установлении зон охраны объекта культурного наследия регионального значения "Александро-Невская (Красная) церковь", расположенного по адресу: Свердловская область, г. Красноуфимск, ул. Мизерова, д. 88, и утверждении требований к градостроительным регламентам в границах данных зон"
(Зарегистрирован 04.02.2025 № 2638)
Номер опубликования: 6601202502050004
Дата опубликования: 05.02.2025
Страница №6 из 26:
Увеличить