Официальное опубликование правовых актов
ОФИЦИАЛЬНОЕ ОПУБЛИКОВАНИЕ
Приказ Управления государственной охраны объектов культурного наследия Свердловской области от 23.12.2024 № 838
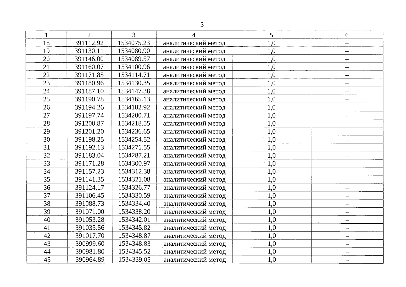
"Об утверждении графического описания местоположения границ защитной зоны объекта культурного наследия федерального значения "Дом Горсовета", расположенного по адресу: Свердловская область, г. Екатеринбург, пр. Ленина, д. 36, с перечнем координат характерных точек этих границ в системе координат, установленной для ведения Единого государственного реестра недвижимости, и режима использования земель в границах данной защитной зоны"
(Зарегистрирован 24.12.2024 № 2463)
Номер опубликования: 6601202412270039
Дата опубликования: 27.12.2024
Страница №5 из 8:
Увеличить