Приказ Управления государственной охраны объектов культурного наследия Свердловской области от 23.12.2024 № 839
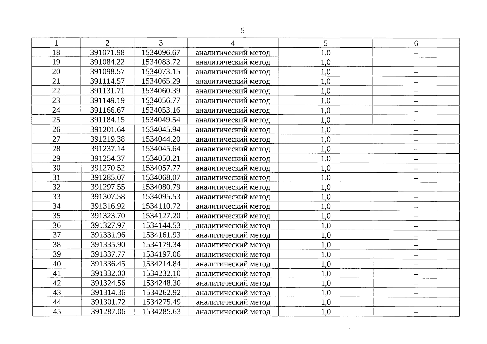
"Об утверждении графического описания местоположения границ защитной зоны объекта культурного наследия регионального значения "Дом Связи", расположенного по адресу: Свердловская область, г. Екатеринбург, пр. Ленина, д. 39, с перечнем координат характерных точек этих границ в системе координат, установленной для ведения Единого государственного реестра недвижимости, и режима использования земель в границах данной защитной зоны"
(Зарегистрирован 24.12.2024 № 2464)
"Об утверждении графического описания местоположения границ защитной зоны объекта культурного наследия регионального значения "Дом Связи", расположенного по адресу: Свердловская область, г. Екатеринбург, пр. Ленина, д. 39, с перечнем координат характерных точек этих границ в системе координат, установленной для ведения Единого государственного реестра недвижимости, и режима использования земель в границах данной защитной зоны"
(Зарегистрирован 24.12.2024 № 2464)
Номер опубликования: 6601202412270028
Дата опубликования:
27.12.2024
