Официальное опубликование правовых актов
ОФИЦИАЛЬНОЕ ОПУБЛИКОВАНИЕ
Приказ Управления государственной охраны объектов культурного наследия Свердловской области от 23.12.2024 № 837
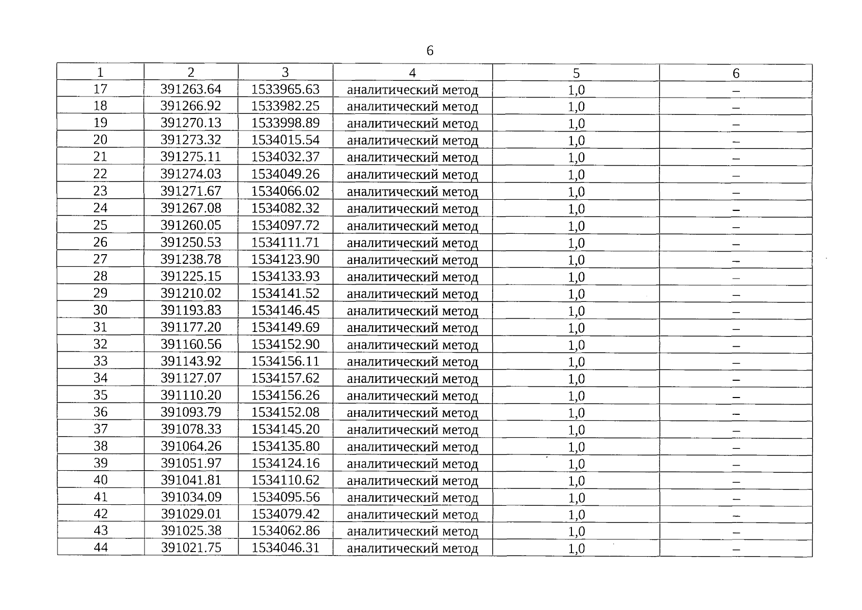
"Об утверждении графического описания местоположения границ защитной зоны объекта культурного наследия федерального значения "Здание бывшего Окружного суда, где в 1918 г. находился первый в стране Уральский комиссариат труда", расположенного по адресу: Свердловская область, г. Екатеринбург, пр. Ленина, д. 35, с перечнем координат характерных точек этих границ в системе координат, установленной для ведения Единого государственного реестра недвижимости, и режима использования земель в границах данной защитной зоны"
(Зарегистрирован 24.12.2024 № 2462)
Номер опубликования: 6601202412270027
Дата опубликования: 27.12.2024
Страница №6 из 9:
Увеличить