Официальное опубликование правовых актов
ОФИЦИАЛЬНОЕ ОПУБЛИКОВАНИЕ
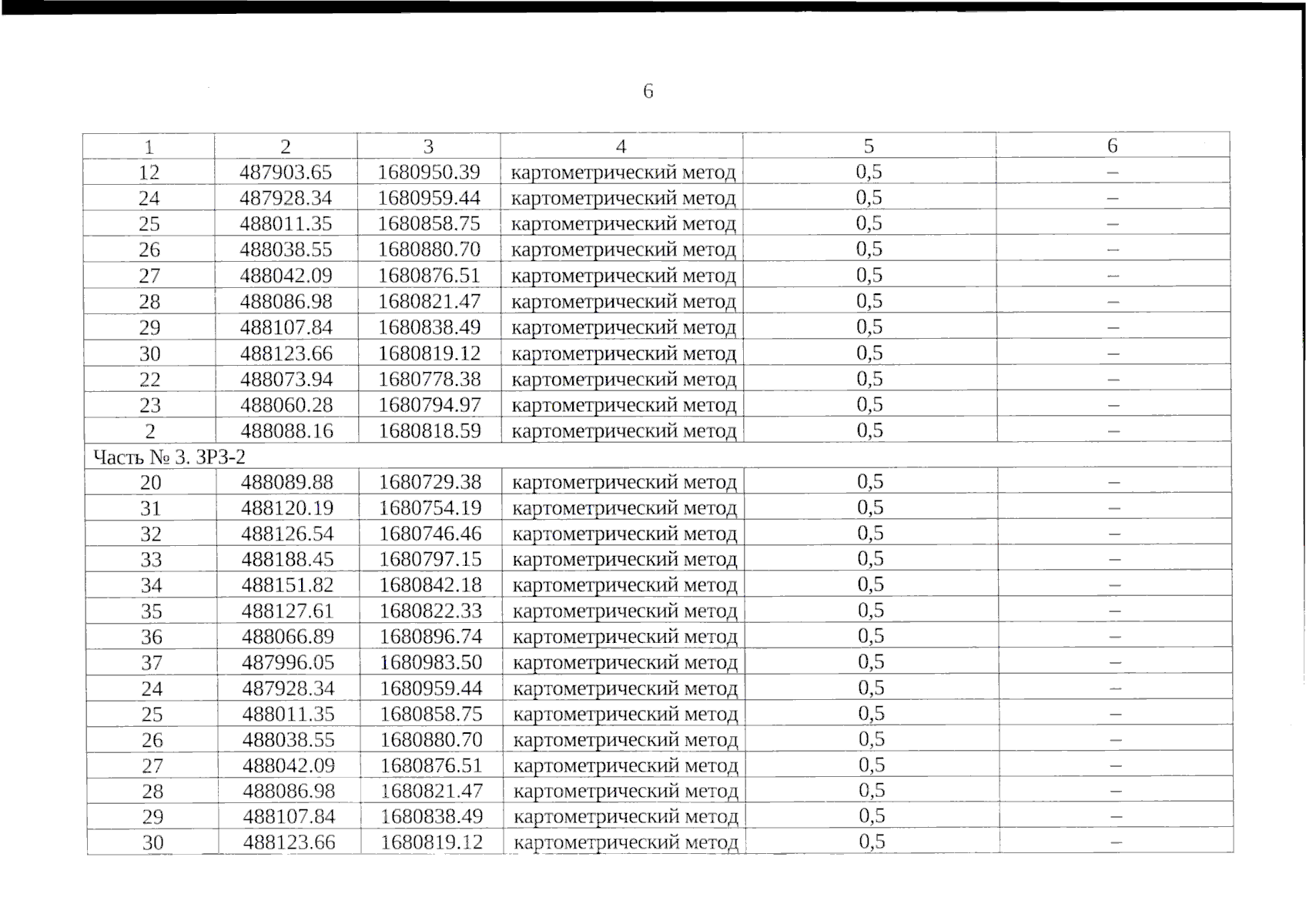
Приказ Управления государственной охраны объектов культурного наследия Свердловской области от 19.12.2024 № 821
"Об установлении зон охраны объекта культурного наследия регионального значения "Каменное здание – бывший винокуренный завод", расположенного по адресу: Свердловская область, г. Ирбит, ул. Карла Маркса, д. 124, и утверждении требований к градостроительным регламентам в границах данных зон"
(Зарегистрирован 20.12.2024 № 2439)
Номер опубликования: 6601202412250014
Дата опубликования: 25.12.2024
Страница №6 из 15:
Увеличить