Официальное опубликование правовых актов
ОФИЦИАЛЬНОЕ ОПУБЛИКОВАНИЕ
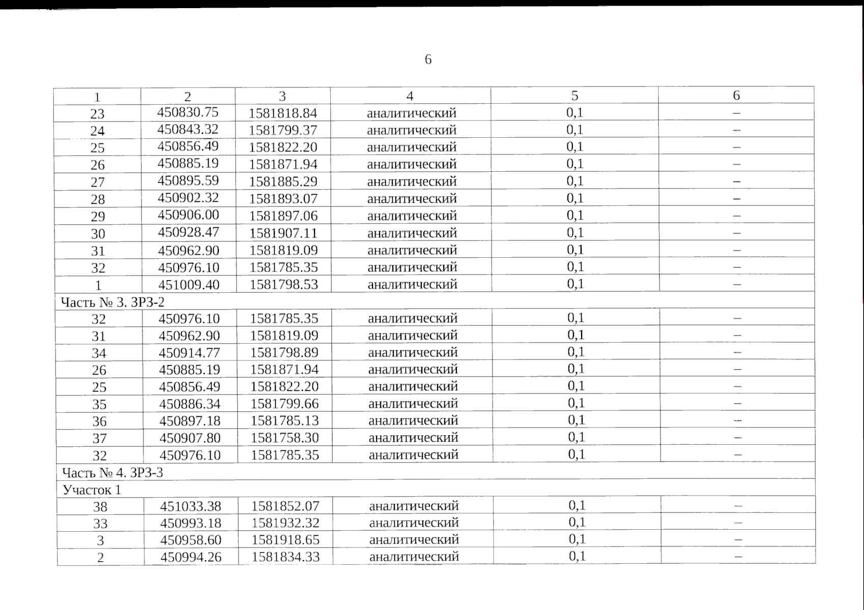
Приказ Управления государственной охраны объектов культурного наследия Свердловской области от 19.12.2024 № 822
"Об установлении зон охраны объекта культурного наследия регионального значения "Здание школы", расположенного по адресу: Свердловская область, г. Реж, ул. Советская, д. 34, и утверждении требований к градостроительным регламентам в границах данных зон"
(Зарегистрирован 20.12.2024 № 2440)
Номер опубликования: 6601202412250011
Дата опубликования: 25.12.2024
Страница №6 из 18:
Увеличить