Официальное опубликование правовых актов
ОФИЦИАЛЬНОЕ ОПУБЛИКОВАНИЕ
Приказ Управления государственной охраны объектов культурного наследия Свердловской области от 25.11.2024 № 743
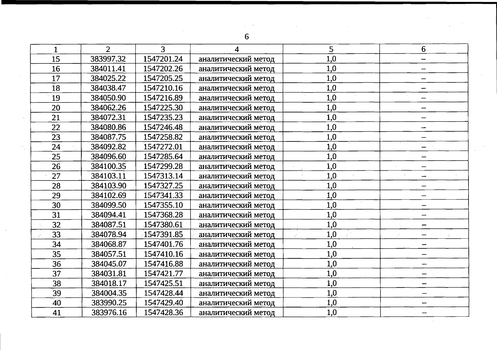
"Об утверждении графического описания местоположения границ защитной зоны объекта культурного наследия регионального значения "Дом, в котором с 1910 г. жил в летнее время и работал художник Л.В. Туржанский", расположенного по адресу: Свердловская область, г. Екатеринбург, пер. Родниковый, д. 2, с перечнем координат характерных точек этих границ в системе координат, установленной для ведения Единого государственного реестра недвижимости, и режима использования земель в границах данной защитной зоны"
(Зарегистрирован 25.11.2024 № 2328)
Номер опубликования: 6601202411270001
Дата опубликования: 27.11.2024
Страница №6 из 9:
Увеличить