Официальное опубликование правовых актов
ОФИЦИАЛЬНОЕ ОПУБЛИКОВАНИЕ
Приказ Управления государственной охраны объектов культурного наследия Свердловской области от 25.11.2024 № 739
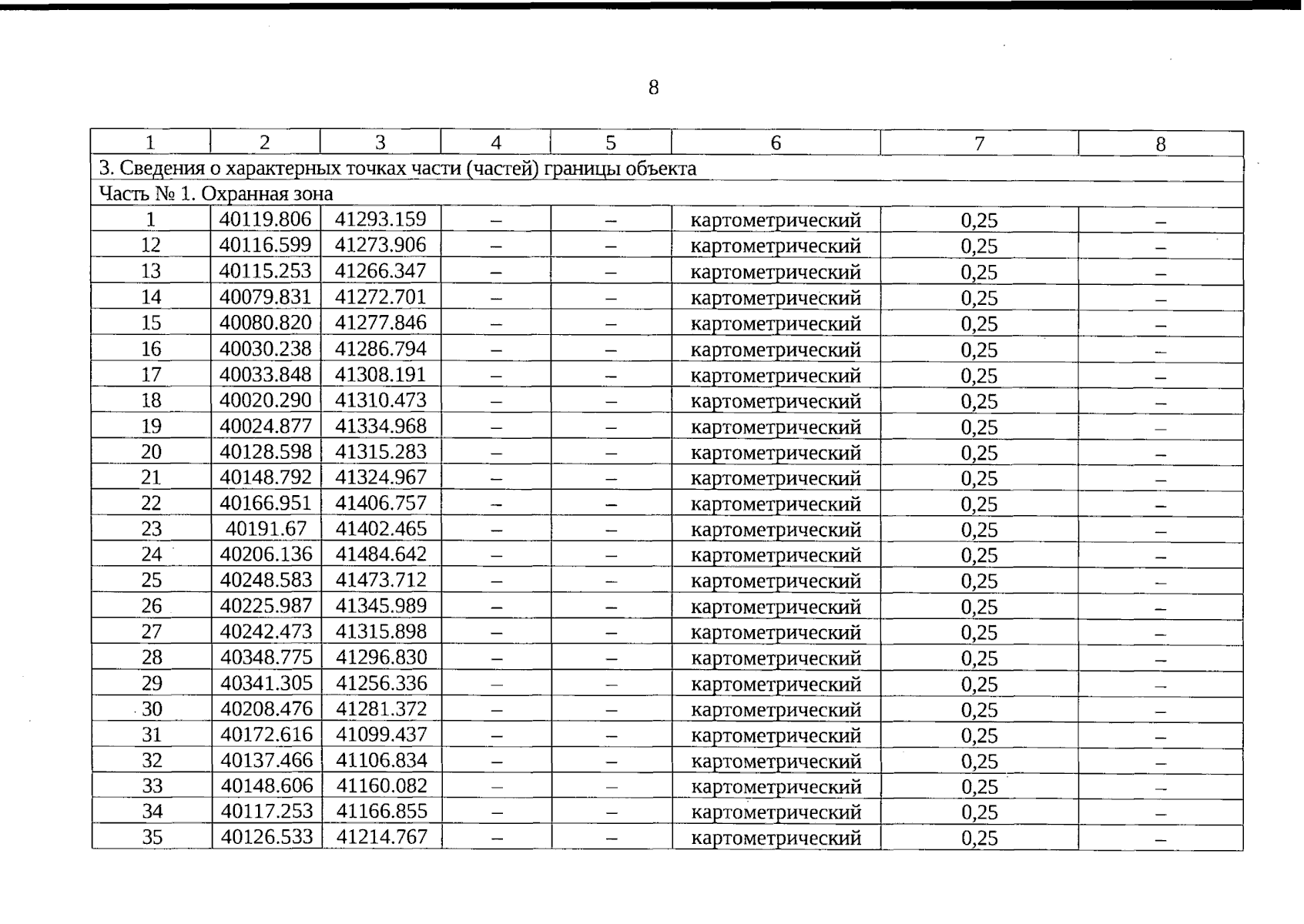
"О внесении изменений в приказ Управления государственной охраны объектов культурного наследия Свердловской области от 26.08.2016 № 139 "Об утверждении границ зон охраны объекта культурного наследия регионального (областного) значения "Дом контор", расположенного по адресу: г. Екатеринбург, ул. Малышева, 42/ул. 8 Марта, 10, режимов использования земель и требований к градостроительным регламентам в границах данных зон"
(Зарегистрирован 25.11.2024 № 2324)
Номер опубликования: 6601202411260007
Дата опубликования: 26.11.2024
Страница №8 из 15:
Увеличить