Официальное опубликование правовых актов
ОФИЦИАЛЬНОЕ ОПУБЛИКОВАНИЕ
Приказ Управления государственной охраны объектов культурного наследия Свердловской области от 25.11.2024 № 741
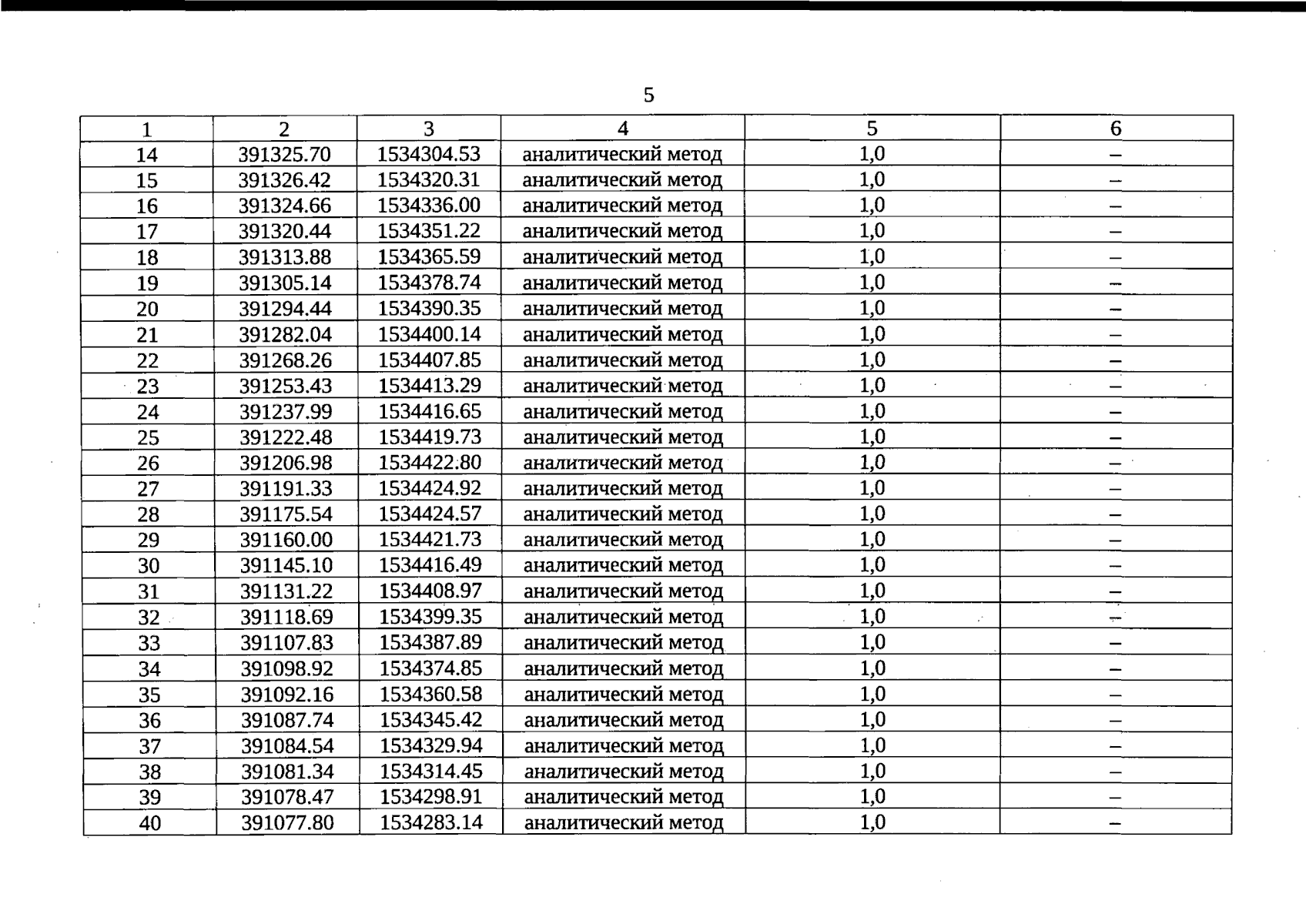
"Об утверждении графического описания местоположения границ защитной зоны объекта культурного наследия регионального значения "Здание первого городского театра", расположенного по адресу: Свердловская область, г. Екатеринбург, пр. Ленина, д. 43 /ул. Карла Либкнехта, д. 15, с перечнем координат характерных точек этих границ в системе координат, установленной для ведения Единого государственного реестра недвижимости, и режима использования земель в границах данной защитной зоны"
(Зарегистрирован 25.11.2024 № 2326)
Номер опубликования: 6601202411260006
Дата опубликования: 26.11.2024
Страница №5 из 8:
Увеличить