Приказ Управления государственной охраны объектов культурного наследия Свердловской области от 25.11.2024 № 740
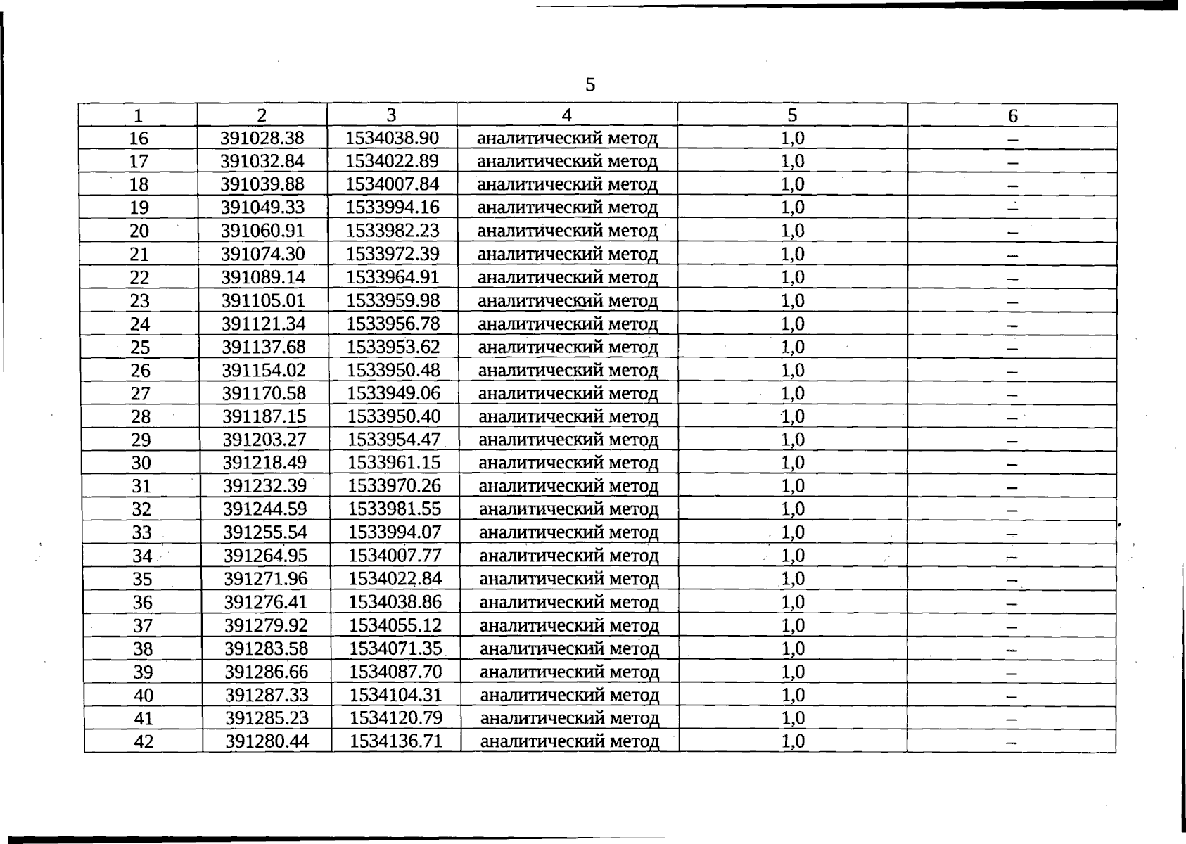
"Об утверждении графического описания местоположения границ защитной зоны объекта культурного наследия федерального значения "Здание аптеки горного ведомства", расположенного по адресу: Свердловская область, г. Екатеринбург, пр. Ленина, д. 37, с перечнем координат характерных точек этих границ в системе координат, установленной для ведения Единого государственного реестра недвижимости, и режима использования земель в границах данной защитной зоны"
(Зарегистрирован 25.11.2024 № 2325)
"Об утверждении графического описания местоположения границ защитной зоны объекта культурного наследия федерального значения "Здание аптеки горного ведомства", расположенного по адресу: Свердловская область, г. Екатеринбург, пр. Ленина, д. 37, с перечнем координат характерных точек этих границ в системе координат, установленной для ведения Единого государственного реестра недвижимости, и режима использования земель в границах данной защитной зоны"
(Зарегистрирован 25.11.2024 № 2325)
Номер опубликования: 6601202411260003
Дата опубликования:
26.11.2024
