Приказ Управления государственной охраны объектов культурного наследия Свердловской области от 18.11.2024 № 727
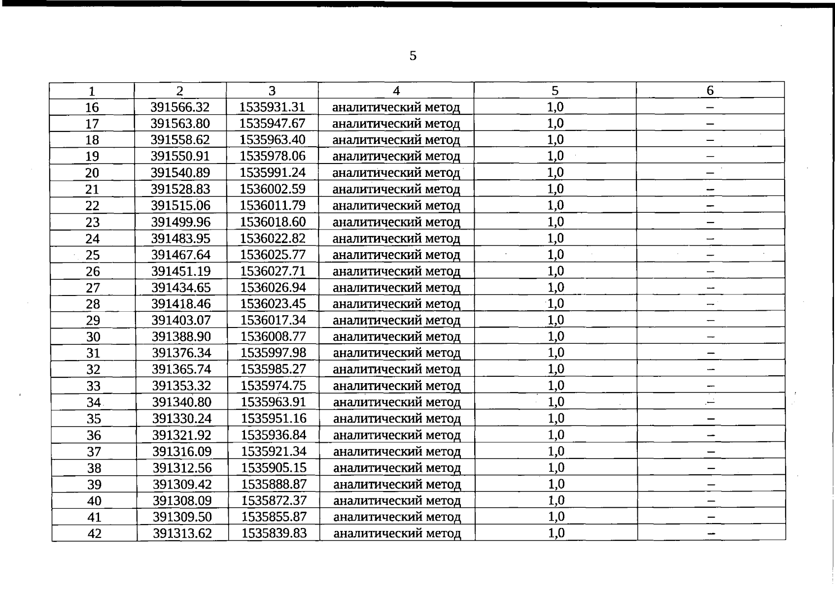
"Об утверждении графического описания местоположения границ защитной зоны объекта культурного наследия регионального значения "Дом жилой", расположенного по адресу: Свердловская область, г. Екатеринбург, пр. Ленина, д. 60, с перечнем координат характерных точек этих границ в системе координат, установленной для ведения Единого государственного реестра недвижимости, и режима использования земель в границах данной защитной зоны"
(Зарегистрирован 19.11.2024 № 2312)
"Об утверждении графического описания местоположения границ защитной зоны объекта культурного наследия регионального значения "Дом жилой", расположенного по адресу: Свердловская область, г. Екатеринбург, пр. Ленина, д. 60, с перечнем координат характерных точек этих границ в системе координат, установленной для ведения Единого государственного реестра недвижимости, и режима использования земель в границах данной защитной зоны"
(Зарегистрирован 19.11.2024 № 2312)
Номер опубликования: 6601202411220008
Дата опубликования:
22.11.2024
